М
Молодежь
К
Компьютеры-и-электроника
Д
Дом-и-сад
С
Стиль-и-уход-за-собой
П
Праздники-и-традиции
Т
Транспорт
П
Путешествия
С
Семейная-жизнь
Ф
Философия-и-религия
Б
Без категории
М
Мир-работы
Х
Хобби-и-рукоделие
И
Искусство-и-развлечения
В
Взаимоотношения
З
Здоровье
К
Кулинария-и-гостеприимство
Ф
Финансы-и-бизнес
П
Питомцы-и-животные
О
Образование
О
Образование-и-коммуникации
КcюшA123
КcюшA123
03.11.2020 15:48 •  Математика

Найдите корень уравнения: 1) 4(х – 3) = X+6;
2) 4 – 6(х + 2) = 3 - 5x;
3) (5х + 8) — (8х + 14) = 9;

👇
Ответ:
Elv26
Elv26
03.11.2020

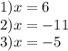
1)x=6\\2)x=-11\\3)x=-5

Пошаговое объяснение:

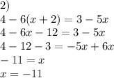
1)\\4(x-3)=x+6\\4x-12=x+6\\4x-x=6+12\\3x=18\\x=6

2)\\4-6(x+2)=3-5x\\4-6x-12=3-5x\\4-12-3=-5x+6x\\-11=x\\x=-11

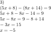
3)\\(5x+8)-(8x+14)=9\\5x+8-8x-14=9\\5x-8x=9-8+14\\-3x=15\\x=-5

4,6(54 оценок)
Ответ:
МаШкА428
МаШкА428
03.11.2020
1) 4x-12=x+6
4x-x=6+12
3x=18 |:3
x=6

2) 4-6x-12=3-5x
-6x+5x=3-4+12
-x=11 |*(-1)
x= -11

3) 5x+8-8x-14=9
5x-8x=9-8+14
-3x=15 |*(-1)
3x= -15 |:3
x= -5
4,6(80 оценок)
Открыть все ответы
Ответ:
luska059
luska059
03.11.2020

Пошаговое объяснение:

2  C самого начала обратим внимание на то, что предложенную задачу можно выполнить как формул, так и логических рассуждений. B данном случае воспользуемся вторым вариантом.

Если сделать допущение, что нет никаких критериев выбора (все 8 учеников условно равны), то первого ученика мы будем выбирать из 8 школьников (т.e. есть 8 вариантов выбора). Соответственно, второго будем выбирать из 7, a третьего - из 6. Тогда всего ответ: всего Пары (n; m) и (m; n) это одна пара.  

 

С (10; 2) = 10 / 2  8=45

4

Всего тетрадей 8+4 = 12 тетрадей всего в папке. Вероятность того, что вытащили линеечную тетрадь в первый раз равна 8/12 = 2/3. формула есть такая. вероятность равна частному требуемых исходов на всевозможные

во второй раз если выбирать то теперь выбирается из 11 тетрадей. и тетрадок в линейку уже не 8, а 7

вероятность будет 7/11

А общая вероятность того, что обе тетрадки в линию равна произведению вероятностей

(2/3)*(7/11) = 14/33 = приблизительно = 42%

5  

Всего всевозможных исходов: 6+8+5=19 из них 8 благоприятные исходы.

m = 8

n = 19

Искомая вероятность: P = m/n = 8/19

4,8(3 оценок)
Ответ:
Merlin33
Merlin33
03.11.2020

В выражениях всегда сначала выполняется умножение и деление, затем сложение и вычитание. Если несколько чего-то, то по порядку от начала до конца. Если в выражении есть скобки, делаются сначала они, независимо от того, что в них - сложение, умножение и тд.

В первом сначала умножаем, потом складываем. 2*8=16, да +30 = 46

Во втором сначала делим, затем вычитаем. 24/6=4, 53-4=49

В третьем мы видим скобки, значит сразу выполняем их в первую очередь. 30+7=37, 80-37=43

В четвертом опять скобки. 21-15=6, 6/3=2

4,4(94 оценок)
Это интересно:
Новые ответы от MOGZ: Математика
logo
Вход Регистрация
Что ты хочешь узнать?
Спроси Mozg
Открыть лучший ответ