М
Молодежь
К
Компьютеры-и-электроника
Д
Дом-и-сад
С
Стиль-и-уход-за-собой
П
Праздники-и-традиции
Т
Транспорт
П
Путешествия
С
Семейная-жизнь
Ф
Философия-и-религия
Б
Без категории
М
Мир-работы
Х
Хобби-и-рукоделие
И
Искусство-и-развлечения
В
Взаимоотношения
З
Здоровье
К
Кулинария-и-гостеприимство
Ф
Финансы-и-бизнес
П
Питомцы-и-животные
О
Образование
О
Образование-и-коммуникации
Меньон258
Меньон258
27.08.2022 16:04 •  Математика

Определите все пары простых чисел p и натуральных n, для которых p^{3}-p^{2}n-18p=2n^{2}-3n+1

👇
Ответ:
Artem13518
Artem13518
27.08.2022

Преобразуем

p(p^2-pn-18) = (2n-1)(n-1)

То есть правая часть обязана делиться на p, то так как p простое возможно два варианта: либо 2n-1 = p либо n-1 = p

Рассмотрим первый

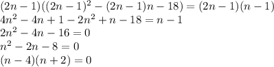
(2n-1)((2n-1)^2-(2n-1)n-18) = (2n-1)(n-1)\\4n^2-4n+1-2n^2+n-18 = n-1\\2n^2-4n-16=0\\n^2-2n-8=0\\(n-4)(n+2)=0

Натуральный корень n=4, при этом 2n-1 = 7 - простое число.

Рассмотрим второй

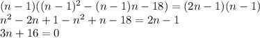
(n-1)((n-1)^2-(n-1)n-18) = (2n-1)(n-1)\\n^2-2n+1-n^2+n-18 = 2n-1\\3n+16=0

Натуральных решений нет

ответ: существует единственная пара n=4, p=7

4,6(82 оценок)
Открыть все ответы
Ответ:
djodanosu7n8
djodanosu7n8
27.08.2022
Почему-то у меня выравнивание стало справа.
Ахиллес бежит со скоростью 3 м/с=300 см/с.
Черепаха со скоростью 3 см/с.
Начальное расстояние между ними 100 м
.Ахиллес догоняет черепаху со скоростью 300 - 3 = 297 см/с = 2,97 м/с
Начальный разрыв 100 м Ахиллес преодолее за 100/2,97 = 33,67 с.
ответ: на 34-ой секунде Ахиллес догонит черепаху.
А вот древний грек Зенон считал, что Ахиллес не догонит черепаху никогда. Потому что, Ахиллес пробежит эти 100 м разницы, но и черепаха за это время проползет какое-то расстояние.
Ахиллес пробежит этот новый разрыв, но и черепаха опять сколько-то проползет. И так до бесконечности. Ахиллес не догонит ее никогда.
4,6(8 оценок)
Ответ:
Титова2017
Титова2017
27.08.2022
1.
В первой корзине стало на 5 грибов больше, а во второй на 5 грибов меньше, а значит
5+5=10 грибов больше в первой корзине
ответ на 10 грибов больше

2. 
5*2=10 ног если бы все были двуногие
14-10=4 ноги лишние у четвероногих по 2 ноги
4:2=2 поросенка во дворе
5-2=3 курицы
ответ 2 поросенка и 3 курицы

3.
Т.к. остаток от связки журналов по 2 будет 1 журнал, то количество журналов не четное
Возьмем самую большую связку журналов - по 4.
Допустим таких связок 1, а значит:
4+3=7 журналов
7:3=2 (1 ост.) - не подходит
Если будет 2 стопки, то по 4 , то 
4*2+3=11 журналов
11:3=3 (2 ост.)
11:2=5 (1 ост.)
Значит журналов будет 11.
ответ 11 журналов
4,6(23 оценок)
Это интересно:
Новые ответы от MOGZ: Математика
Полный доступ к MOGZ
Живи умнее Безлимитный доступ к MOGZ Оформи подписку
logo
Вход Регистрация
Что ты хочешь узнать?
Спроси Mozg
Открыть лучший ответ