М
Молодежь
К
Компьютеры-и-электроника
Д
Дом-и-сад
С
Стиль-и-уход-за-собой
П
Праздники-и-традиции
Т
Транспорт
П
Путешествия
С
Семейная-жизнь
Ф
Философия-и-религия
Б
Без категории
М
Мир-работы
Х
Хобби-и-рукоделие
И
Искусство-и-развлечения
В
Взаимоотношения
З
Здоровье
К
Кулинария-и-гостеприимство
Ф
Финансы-и-бизнес
П
Питомцы-и-животные
О
Образование
О
Образование-и-коммуникации
Kristina1536289
Kristina1536289
29.08.2020 23:12 •  Математика

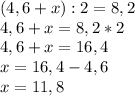
(4,6 + X) : 2=8,2
какое ответ

👇
Ответ:
Ziri12
Ziri12
29.08.2020

x=11,8

Пошаговое объяснение:

(4,6+x):2=8,2\\4,6+x=8,2*2\\4,6+x=16,4\\x=16,4-4,6\\x=11,8

4,6(5 оценок)
Открыть все ответы
Ответ:
ЗиА11
ЗиА11
29.08.2020
5/8+1/4+7/12. Найдём общий знаменатель. Все они могут делиться на 24. Если мы разделим 24:8 получим 3. Если мы разделим 24: 4 получим 6. Если мы разделим 24:12 получим 2. Вначале 5/8 разделим на числа. 5 и 8. 5*3=15.8*3=24. Итого у нас получилась дробь 15/24. Дальше.. 1/4 тоже разделим на числа. 1 и 4. 1* 6=6. 4*6=24. Итого у нас получилась дробь 6/24. Дальше найдём следующую дробь. 7/12 разделим на числа. 7 и 12. 7*2=14.12*2=24.Итого у нас получилась дробь 14/24. Теперь,вторые числа просто "забываем". А первые плюсуем.15+6+14=35. Теперь к этому числу добавляем 24. Получили дробь 35/24. Переделаем в смешанную дробь,35 делим на 24
. Получился ответ 1 с остатком 11.1 1/11.
4,6(47 оценок)
Ответ:
софа336
софа336
29.08.2020
5/8+1/4+7/12. Найдём общий знаменатель. Все они могут делиться на 24. Если мы разделим 24:8 получим 3. Если мы разделим 24: 4 получим 6. Если мы разделим 24:12 получим 2. Вначале 5/8 разделим на числа. 5 и 8. 5*3=15.8*3=24. Итого у нас получилась дробь 15/24. Дальше.. 1/4 тоже разделим на числа. 1 и 4. 1* 6=6. 4*6=24. Итого у нас получилась дробь 6/24. Дальше найдём следующую дробь. 7/12 разделим на числа. 7 и 12. 7*2=14.12*2=24.Итого у нас получилась дробь 14/24. Теперь,вторые числа просто "забываем". А первые плюсуем.15+6+14=35. Теперь к этому числу добавляем 24. Получили дробь 35/24. Переделаем в смешанную дробь,35 делим на 24
. Получился ответ 1 с остатком 11.1 1/11.
4,4(44 оценок)
Это интересно:
Новые ответы от MOGZ: Математика
logo
Вход Регистрация
Что ты хочешь узнать?
Спроси Mozg
Открыть лучший ответ