М
Молодежь
К
Компьютеры-и-электроника
Д
Дом-и-сад
С
Стиль-и-уход-за-собой
П
Праздники-и-традиции
Т
Транспорт
П
Путешествия
С
Семейная-жизнь
Ф
Философия-и-религия
Б
Без категории
М
Мир-работы
Х
Хобби-и-рукоделие
И
Искусство-и-развлечения
В
Взаимоотношения
З
Здоровье
К
Кулинария-и-гостеприимство
Ф
Финансы-и-бизнес
П
Питомцы-и-животные
О
Образование
О
Образование-и-коммуникации
kakniet
kakniet
05.09.2020 08:59 •  Математика

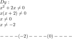
Найти область определения функции
y=1/x^2+2x

👇
Ответ:
Nemsix
Nemsix
05.09.2020

Пошаговое объяснение:

Dy:\\x^2+2x\neq0\\ x(x+2)\neq 0\\x\neq 0\\x\neq -2\\\\----(-2)----(0)----

x∈(-∞;-2)∪(-2;0)∪(0;+∞)

4,8(12 оценок)
Открыть все ответы
Ответ:
мскисуля2
мскисуля2
05.09.2020
Скрипка - струнно - смычковый музыкальный инструмент высокого регистра.
Скрипка один из важнейших инструментов современного симфонического оркестра.
Ни один другой инструмент не обладает таким сочетанием красоты, выразительности звука и технической подвижности.
Формы скрипки установились к XVI веку. К этому веку и началу XVII века относятся известные изготовители скрипок — семейство Амати. Их инструменты отличаются прекрасной формой и превосходным материалом. Скрипка является сольным инструментом с XVII века.
Скрипка имеет четыре струны, настроенные по квинтам. 
Корпус скрипки имеет овальную форму с округлыми выемками по бокам, образующими «талию». Гриф скрипки — длинная пластинка из чёрного дерева или из пластмассы.
4,6(70 оценок)
Ответ:
caramelka05
caramelka05
05.09.2020

2. S кв. = а2 = 100 см2, значит а=10

2а=20 - длина прямоугольника

а/2=5 - ширина

P прямоуг. = 2(2а+а/2) = 2(20+5)=50 см

3.  80 км/ч + 40 км/ч = 120 км/ч - скорость сближения

А) 480 км : 120 км/ч = 4 ч - время через которое они встретятся

Б) 80 км/ч * 4 ч = 320 км - расстояние от города А

480-320=160 км - расстояние от города B

4. х яблок - в третьем ящике

3х - в первом

4х - во втором

Т.к. всего в ящиках 136 кг яблок, то получаем ур-е:

х+3х+4х=136

8х=136

х=17 яблок в третьем ящике

3*17=51 яблоко в первом ящике

4*17=68 яблок во втором ящике

5. Чтобы число делилось на 12, оно должно делиться на 3 и на 4. Чтобы число делилось на 3, сумма всех его цифр должна делиться на 3 (1+1+3+4+4+2+3+1+3+4+4+2+3+5+1+2+1+5+6+6+8+7+1+8+7+1+1+2=96 (96:3=32)). Чтобы число делилось на 4, две последние цифры этого числа должны делиться на 4 (12:4=3)

Значит это число делится на 12

4,6(18 оценок)
Это интересно:
Новые ответы от MOGZ: Математика
logo
Вход Регистрация
Что ты хочешь узнать?
Спроси Mozg
Открыть лучший ответ