Неравенство ax² + bx + c < 0 не будет иметь решений, если парабола
y = ax² + bx + c будет расположена над осью Ох или будет касаться оси.
Для этого коэффициент а должен быть положительным, а уравнение ax² + bx + c = 0 не должно иметь корней или иметь один корень, т.е. дискриминант должен быть меньше либо равен нулю:

(p - 1) x² + (p - 2) x + 3p - 1 < 0

D = (p - 2)² - 4(p - 1)(3p - 1) = p² - 4p + 4 - 12p² + 16p - 4 = - 11p² + 12p
- 11p² + 12p ≤ 0
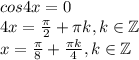
p(11p - 12) ≥ 0 (см. рис. 1)
p ∈ (- ∞ ; 0] ∪ [12/11 ; + ∞)
p > 1
(см. рис. 2)
p ∈[12/11 ; + ∞)
1) Сколько было булав и колец, если бы их было поровну?
27 - 13 = 14 (пр.)
Мы знаем, что если булав и колец было поровну, то было всего 14 предметов.
Если вы уже изучили действе деление, то легко можно вычислить, сколько было колец и булав по отдельности:
2) 14 : 2 = 7 (пр.), то есть было 7 колец и 7 булав
Если вы не изучали действие деление, то решить еще проще: мы знаем состав двузначных чисел и знаем, что
14 - это 7 и 7, то есть было 7 колец и 7 булав
Рассуждаем дальше:
По условию задачи булав было больше на 13 штук, значит, сложение, знак плюс:
3) Сколько было булав?
7 + 13 = 20 (б.)
ответ: было 7 колец и 20 булав.
Проверка:
20 + 7 = 27 (пр.) - как в условии задачи
Запись задачи без пояснений:
1) Сколько было булав и колец, если бы их было поровну?
27 - 13 = 14 (пр.)
2) Сколько было колец?
14 : 2 = 7 (пр.)
или
14 - это 7 и 7
3) Сколько было булав?
7 + 13 = 20 (б.)
ответ: было 7 колец и 20 булав.
Пошаговое объяснение: