М
Молодежь
К
Компьютеры-и-электроника
Д
Дом-и-сад
С
Стиль-и-уход-за-собой
П
Праздники-и-традиции
Т
Транспорт
П
Путешествия
С
Семейная-жизнь
Ф
Философия-и-религия
Б
Без категории
М
Мир-работы
Х
Хобби-и-рукоделие
И
Искусство-и-развлечения
В
Взаимоотношения
З
Здоровье
К
Кулинария-и-гостеприимство
Ф
Финансы-и-бизнес
П
Питомцы-и-животные
О
Образование
О
Образование-и-коммуникации
Emulov
Emulov
03.11.2021 22:22 •  Математика

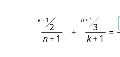
Приведите к общему знаменателю
Help me pleas ​


Приведите к общему знаменателю Help me pleas ​

👇
Ответ:
daryankaa1
daryankaa1
03.11.2021

Пошаговое объяснение:

Общий знаменатель:

(n+1)(k+1)=nk+n+k+1 .

2(k+1)+3(n+1) / ( n+1)(k+1) .

4,4(59 оценок)
Ответ:
burch123
burch123
03.11.2021

Если мне не изменяет память, то так


Приведите к общему знаменателю Help me pleas ​
4,6(42 оценок)
Открыть все ответы
Ответ:
alinaosipyants
alinaosipyants
03.11.2021
Решение: Можно представить, что группы по успеваемости могут быть разных вариантов. Например: 1+1+23=25, где 1-отличник, 1-хорошист, 23- троечника и т. д., но мы предположем, что группы имеют равное количество учащихся. Тогда мы имеем: 25 : 3 ≈ 8 (чел) - в каждой группе; Также предположем, что и по видам спорта равное количество учащихся в группах: 25 : 4 ≈ 6 (чел) - в каждой группе; 8 и 6 > 3 (чел) => могу иметь одинаковую успеваемость и одинаковые интересы. ответ: В классе могут иметь одинаковую успеваемость и одинаковые интересы покраней мере три человека.
4,7(69 оценок)
Ответ:
mishanya2011198
mishanya2011198
03.11.2021
Справочник - Природоведение
Когда солнце нагревает поверхность рек, озёр и морей, часть воды испаряется и поднимается вверх. Сначала эти капельки такие маленькие, что их нельзя разглядеть. Потом они собираются в облака и становятся видимыми.
Если облака опускаются низко над землёй, они становятся туманом.
Чаще всего туманы бывают там, где много влаги — над рекой или в низинах. Обычно туманы появляются утром или вечером, когда земля остывает. Но стоит пригреть солнышку — утренний туман рассеивается. Это не значит, что он исчезает: просто он снова превращается в пар и поднимается вверх. А что происходит с вечерним туманом? Капельки воды, из которых состоит туман, опускаются на землю, прикасаются к предметам, листьям, траве и превращаются в росу. Конечно, ты видел её не раз после ясных холодных ночей. Роса, как тысячи рассыпавшихся бриллиантов, сверкает на солнце радужными искорками.
А если холодно и температура воздуха ниже нуля, капельки влаги ложатся на землю маленькими кристалликами льда — инеем. Так путешествует лишь часть капелек. А что происходит с другими?
4,8(52 оценок)
Это интересно:
logo
Вход Регистрация
Что ты хочешь узнать?
Спроси Mozg
Открыть лучший ответ