М
Молодежь
К
Компьютеры-и-электроника
Д
Дом-и-сад
С
Стиль-и-уход-за-собой
П
Праздники-и-традиции
Т
Транспорт
П
Путешествия
С
Семейная-жизнь
Ф
Философия-и-религия
Б
Без категории
М
Мир-работы
Х
Хобби-и-рукоделие
И
Искусство-и-развлечения
В
Взаимоотношения
З
Здоровье
К
Кулинария-и-гостеприимство
Ф
Финансы-и-бизнес
П
Питомцы-и-животные
О
Образование
О
Образование-и-коммуникации
AlinaAlbul
AlinaAlbul
18.03.2022 04:34 •  Математика

Решите составив систему уравнений расстояние между двумя деревнями на реке 30км . это расстояние моторная лодка проходит по течению реки за 2ч,а против течения 3ч . найдите собственную скорость лодки и скорость течения заранее.

👇
Ответ:
MrDoktordhdhdh
MrDoktordhdhdh
18.03.2022

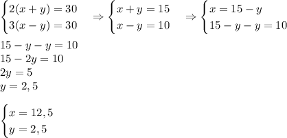
Собственная скорость лодки x км/ч, скорость течения y км/ч.

Скорость лодки по течению (x+y) км/ч, против течения (x-y) км/ч.

По течению проходит 30 км за 2 часа, т.е. 2*(x+y) = 30.

Против течения проходит 30 км на 3 часа, т.е. 3*(x-y) = 30.

\begin{cases}2(x+y)=30\\3(x-y)=30\end{cases}\Rightarrow\begin{cases}x+y=15\\x-y=10\end{cases}\Rightarrow\begin{cases}x=15-y\\15-y-y=10\end{cases}\\\\15-y-y=10\\15-2y=10\\2y=5\\y=2,5\\\\\begin{cases}x=12,5\\y=2,5\end{cases}

4,5(80 оценок)
Открыть все ответы
Ответ:
Nbveh1234567890
Nbveh1234567890
18.03.2022
1. Слово «буддизм» происходит от слова Budhi на языке хинди, что означает мудрость. В этом смысле Будда означает «Мудрец».
2. Буддистский монах не должен готовить пищу, он может только попросить еду в качестве милостыни.
3. Эта религия отличается от любой другой религии. Они не верят в богов. Они верят в доброту и жизнь после смерти. Если вы живете хорошей жизнью, вы будете иметь лучшую жизнь в следующей жизни, и она будет строить хорошую карму. Если вы живете плохой жизнью, вы будете иметь плохую карму в следующей жизни.
4. Монахини-женщины могут занимать должность монахини.
5. Более 50% учения буддизма является частью индуизма, самой популярной религии в Индии.
6. Будда не был толстяком - его образ жизни и умеренность в еде сделали его не склонным к ожирению.
7. Первая книга, напечатанная типографским буддистский документ «Чикчи», заключающий в себе тексты проповедей Будды и жизнеописания буддистских монахов и проповедников.
8. В Индии представлены все мировые религии, а также некоторые другие восточные.
9. Кумбха Мела (или Большой фестиваль кувшинов) - огромный индуистский религиозный фестиваль, который проходит в Индии в городе Аллахабад каждые 12 лет, представляет собой самый большой в мире праздник.
10. Корова является священным животным и олицетворением матери в индуизме, поэтому в некоторых штатах Индии употребление в пищу говядины запрещено, а убийство коровы является уголовным преступлением.
4,5(85 оценок)
Ответ:
алекса146
алекса146
18.03.2022
1. Слово «буддизм» происходит от слова Budhi на языке хинди, что означает мудрость. В этом смысле Будда означает «Мудрец».
2. Буддистский монах не должен готовить пищу, он может только попросить еду в качестве милостыни.
3. Эта религия отличается от любой другой религии. Они не верят в богов. Они верят в доброту и жизнь после смерти. Если вы живете хорошей жизнью, вы будете иметь лучшую жизнь в следующей жизни, и она будет строить хорошую карму. Если вы живете плохой жизнью, вы будете иметь плохую карму в следующей жизни.
4. Монахини-женщины могут занимать должность монахини.
5. Более 50% учения буддизма является частью индуизма, самой популярной религии в Индии.
6. Будда не был толстяком - его образ жизни и умеренность в еде сделали его не склонным к ожирению.
7. Первая книга, напечатанная типографским буддистский документ «Чикчи», заключающий в себе тексты проповедей Будды и жизнеописания буддистских монахов и проповедников.
8. В Индии представлены все мировые религии, а также некоторые другие восточные.
9. Кумбха Мела (или Большой фестиваль кувшинов) - огромный индуистский религиозный фестиваль, который проходит в Индии в городе Аллахабад каждые 12 лет, представляет собой самый большой в мире праздник.
10. Корова является священным животным и олицетворением матери в индуизме, поэтому в некоторых штатах Индии употребление в пищу говядины запрещено, а убийство коровы является уголовным преступлением.
4,5(81 оценок)
Это интересно:
Новые ответы от MOGZ: Математика
logo
Вход Регистрация
Что ты хочешь узнать?
Спроси Mozg
Открыть лучший ответ