
1) 98х-87х=594
11х=594
х= 594/11=54
2) 23х-12х+6х+5=90
17х=90-5
17х=85
х=5
3) (16х-10х+3)·4=132
(6х+3)*4=132
24х+12=132
24х=120
х=120/24
х=5
4) 630: (63х-42х)+53=68
630: 21х+53=68
630: 21х=15
21х=630/15
21х=42
х=2
2. Слесарь и его ученик изготовили 192 детали. Слесарь работает в 3 раза быстрее ученика. Сколько деталей сделал каждый из них?
х- количество деталей изготовленным учеником
3х-количество деталей изготовленным слесарем
х+3х=192
4х=192
х=192/4
х=48 детали ученика
48*3=144 детали слесаря
3. Для приготовления мороженого взяли 3 части молока, 2 части сахара и 1 часть масла. Всего мороженое весило 120 грамм. Сколько грамм сахара взяли?
х- вес масла
2х-вес сахара
3х- вес молока
х+2х+3х=120
6х=120
х=120/6
х=20
сахара 20*2=40
4.Папа, сын и дочь собрали 99 кг свеклы. Сын собрал в 2 раза больше, чем дочь, а папа – в 3 раза больше, чем сын. Сколько килограммов свеклы собрал каждый из них?
х кг-свеклы собрала дочь
2х кг-собрал сын
6х кг собрал отец
х+2х+6х=99
9х=99
х=99/9
х=11 кг собрала дочь
11*2=22 собрал сын
11*6=66 собрал отец
5. Два поезда вышли одновременно навстречу друг другу из двух городов, расстояние между которыми 600 км. Скорость первого поезда 70 км/ч, а скорость второго 80 км/ч. Какое расстояние было между поездами через 3 ч после выхода?
1 поезд за три часа проехал70*3= 210 км
2 поезд за три часа - 80*3=240км
600-(210+240)=150 км расстояние между поездами через 3 часа
Пошаговое объяснение:
1) 98х-87х=594
11х=594
х= 594/11=54
2) 23х-12х+6х+5=90
17х=90-5
17х=85
х=5
3) (16х-10х+3)·4=132
(6х+3)*4=132
24х+12=132
24х=120
х=120/24
х=5
4) 630: (63х-42х)+53=68
630: 21х+53=68
630: 21х=15
21х=630/15
21х=42
х=2
2. Слесарь и его ученик изготовили 192 детали. Слесарь работает в 3 раза быстрее ученика. Сколько деталей сделал каждый из них?
х- количество деталей изготовленным учеником
3х-количество деталей изготовленным слесарем
х+3х=192
4х=192
х=192/4
х=48 детали ученика
48*3=144 детали слесаря
3. Для приготовления мороженого взяли 3 части молока, 2 части сахара и 1 часть масла. Всего мороженое весило 120 грамм. Сколько грамм сахара взяли?
х- вес масла
2х-вес сахара
3х- вес молока
х+2х+3х=120
6х=120
х=120/6
х=20
сахара 20*2=40
4.Папа, сын и дочь собрали 99 кг свеклы. Сын собрал в 2 раза больше, чем дочь, а папа – в 3 раза больше, чем сын. Сколько килограммов свеклы собрал каждый из них?
х кг-свеклы собрала дочь
2х кг-собрал сын
6х кг собрал отец
х+2х+6х=99
9х=99
х=99/9
х=11 кг собрала дочь
11*2=22 собрал сын
11*6=66 собрал отец
5. Два поезда вышли одновременно навстречу друг другу из двух городов, расстояние между которыми 600 км. Скорость первого поезда 70 км/ч, а скорость второго 80 км/ч. Какое расстояние было между поездами через 3 ч после выхода?
1 поезд за три часа проехал70*3= 210 км
2 поезд за три часа - 80*3=240км
600-(210+240)=150 км расстояние между поездами через 3 часа
Пошаговое объяснение:
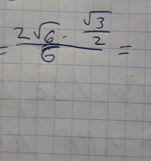
√2/2
Пошаговое объяснение:
(2√6*√3/2)/6 =√2/2
1) 2√6 * √3/2 = √6 * √3 = √18 = √9*2 = 3√2
2) 3√2 ÷ 6 =3√2 * 1/6 = √2 * 1/2 = √2/2