М
Молодежь
К
Компьютеры-и-электроника
Д
Дом-и-сад
С
Стиль-и-уход-за-собой
П
Праздники-и-традиции
Т
Транспорт
П
Путешествия
С
Семейная-жизнь
Ф
Философия-и-религия
Б
Без категории
М
Мир-работы
Х
Хобби-и-рукоделие
И
Искусство-и-развлечения
В
Взаимоотношения
З
Здоровье
К
Кулинария-и-гостеприимство
Ф
Финансы-и-бизнес
П
Питомцы-и-животные
О
Образование
О
Образование-и-коммуникации
Grif69
Grif69
20.09.2021 15:35 •  Математика

Исследуйте функцию f(x)=lg(x+\sqrt{x^{2} +1}) на четность/нечетность

👇
Ответ:
Nqva
Nqva
20.09.2021

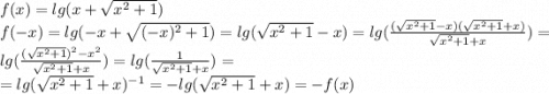
f(x) = lg(x+\sqrt{x^2+1})\\f(-x) = lg(-x + \sqrt{(-x)^2+1}) = lg(\sqrt{x^2+1} - x) = lg(\frac{(\sqrt{x^2+1}-x)(\sqrt{x^2+1}+x)}{\sqrt{x^2+1}+x}) = lg(\frac{(\sqrt{x^2+1})^2-x^2}{\sqrt{x^2+1}+x}) = lg(\frac{1}{\sqrt{x^2+1}+x}) =\\= lg(\sqrt{x^2+1}+x)^{-1} = -lg(\sqrt{x^2+1}+x) = -f(x)

Нечетная.

4,6(29 оценок)
Открыть все ответы
Ответ:
V73663
V73663
20.09.2021

7. а)15

б) Алия

с) Алия и Диана

8.                                                                        Дано:                                                                                                                             ∠AOC = 180°                                                       Найти:                                                                                                                            ∠ AOB, ∠BOC — ?

1) Пусть ∠BOC = x°. Тогда ∠AOB = x+40°. По теореме о сумме углов треугольника получаем, что x+x+40 = 180°. 

уравнение.

x+x+40 = 180

2x + 40 = 180

2x = 180-40

2x = 140 

x = 140:2

x = 70.

∠BOC = 70° ∠AOB = 70+40 = 110°

ответ: 70°, 110°.

9.а)45

P.S (не могу почему то загрузить файл )

4,5(24 оценок)
Ответ:
Полина3061
Полина3061
20.09.2021
Краткая запись:

1 день-200 км/ч и 8 ч в пути

2 день-¼ от первого дня

Решение:

200•8=1600(км) за первый день

1600:4=400(км) в второй день

1600+400=2000(км) всего за два дня

ответ: 2000 км

Что бы найти расстояние нужно скорость умножить на время:

200•8=1600(км луноход в первый день.

Далее мы должны найти расстояние которое луноход за второй день, сказано что он четвертую часть от первого дня, значит нужно: 1600:4=400(км луноход за второй день

Затем находим расстояние которое луноход за два дня: 1600+400=2000(км) за 2 дня

ответ:2000 км

4,7(2 оценок)
Это интересно:
Новые ответы от MOGZ: Математика
logo
Вход Регистрация
Что ты хочешь узнать?
Спроси Mozg
Открыть лучший ответ