М
Молодежь
К
Компьютеры-и-электроника
Д
Дом-и-сад
С
Стиль-и-уход-за-собой
П
Праздники-и-традиции
Т
Транспорт
П
Путешествия
С
Семейная-жизнь
Ф
Философия-и-религия
Б
Без категории
М
Мир-работы
Х
Хобби-и-рукоделие
И
Искусство-и-развлечения
В
Взаимоотношения
З
Здоровье
К
Кулинария-и-гостеприимство
Ф
Финансы-и-бизнес
П
Питомцы-и-животные
О
Образование
О
Образование-и-коммуникации
Kykyshka2000
Kykyshka2000
05.10.2020 06:59 •  Математика

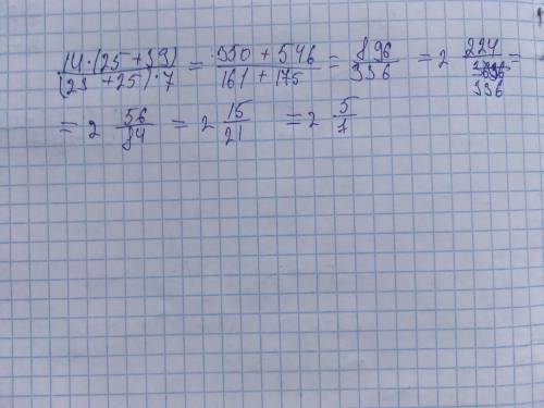
Выполни действия и сократите дробь 14×(25+39)

( 23+25)×7​

👇
Ответ:
саша4246
саша4246
05.10.2020

ответ: 2 целых 5/7

Пошаговое объяснение:


Выполни действия и сократите дробь 14×(25+39) ( 23+25)×7​
4,5(66 оценок)
Открыть все ответы
Ответ:
карольчик1
карольчик1
05.10.2020
Если пожар возник в вашей квартире, и вы не справились с его тушением на начальном этапе подручными средствами, немедленно покиньте её, плотно прикрыв за собой дверь. При невозможности эвакуации через внутреннюю лестничную клетку используйте балконную лестницу, а если её нет, то выйдете на балкон, закрыв плотно за собой дверь, и криками привлеките внимание прохожих и пожарных.
А. Попробовать потушить пожар самостоятельно. 
В. Приложить любую мокрую ткань к лицу чтобы не отравиться продуктами горения, собрать (по возможности) важные документы паспорта и т.д.
И пригнувшись как можно ближе к полу направляться к выходу.
4,4(59 оценок)
Ответ:
Jicker
Jicker
05.10.2020
20минут. 
Первый математик первую треть пути проезжает на самокате за 4 минуты, оставляет самокат и оставшиеся две трети пробегает за 16 минут, итого всю дистанцию проходит за 20 мин.
Второй математик первую треть пути пробегает за 8 минут, поднимает оставленный самокат и вторую треть пути проезжает за 4 минуты, оставляет самокат и последнюю треть снова пробегает за 8 минут. Итог - те же 20 минут.
Третий математик первые две трети пути пробегает за 16 минут, поднимает оставленный вторым математиком самокат и проезжает оставшуюся часть пути за 4 минуты. Все финишируют одновременно со временем 20 минут
4,8(16 оценок)
Это интересно:
Новые ответы от MOGZ: Математика
logo
Вход Регистрация
Что ты хочешь узнать?
Спроси Mozg
Открыть лучший ответ