М
Молодежь
К
Компьютеры-и-электроника
Д
Дом-и-сад
С
Стиль-и-уход-за-собой
П
Праздники-и-традиции
Т
Транспорт
П
Путешествия
С
Семейная-жизнь
Ф
Философия-и-религия
Б
Без категории
М
Мир-работы
Х
Хобби-и-рукоделие
И
Искусство-и-развлечения
В
Взаимоотношения
З
Здоровье
К
Кулинария-и-гостеприимство
Ф
Финансы-и-бизнес
П
Питомцы-и-животные
О
Образование
О
Образование-и-коммуникации
JetBalance97
JetBalance97
09.10.2022 15:34 •  Математика

без спама у меня больше нет балов((


без спама у меня больше нет балов((
без спама у меня больше нет балов((
без спама у меня больше нет балов((

👇
Ответ:
PolzoBatelb
PolzoBatelb
09.10.2022

Пошаговое объяснение:

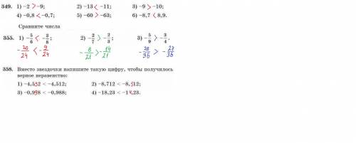
из двух отрицательных чисел больше то число,модуль которого меньше.

-2 > -9 |-2|=2 < |-9|=9

решение внизу

чем правее расположено число на числовой прямой,тем оно больше.


без спама у меня больше нет балов((
4,7(63 оценок)
Открыть все ответы
Ответ:
Zsd19
Zsd19
09.10.2022
Под проблемным обучением обычно понимается такая организация учебных занятий, которая предполагает создание под руководством учителя проблемных ситуаций и активную самостоятельную деятельность учащихся по их разрешению
Сущность проблемного обучения сводится к тому, что в процессе обучения в корне изменяется характер и структура познавательной деятельности учащегося, приводящее к развитию творческого потенциала личности учащегося.
Основными понятиями в проблемном обучении являются проблема, проблемный вопрос, проблемная задача, проблемная ситуация.
Проблема возникает на стыке известного и неизвестного. 
Проблемный вопрос — это "одноактное" действие, стимулирующее мысль, активизирующее мышление, заставляющее человека думать. 
Проблемная задача предполагает ряд действий для ее решения, обучающийся должен самостоятельно провести частичный поиск. 
Проблемная ситуация — это психологическое состояние интеллектуального затруднения, которое возникает у человека, если он не может объяснить новый факт при имеющихся знаний или выполнить известное действие прежними знакомыми ему и должен найти новый
Логика ПбО:
1. Создание проблемной ситуации 2. Вычленение проблемы 3. Поиск фактов для лучшего понимания проблемы (установление ассоциативных связей, альтернативные формулировки проблемы) 4. Выдвижение гипотез по поводу решения проблемы 5. Поиск решения проблемы 6. Поиск признания найденного решения окружающими
Методы:
монологический  (Учитель сам объясняет сущность новых понятий, фактов; даёт учащимся готовые выводы науки, но делается это в условиях проблемной ситуации)
рассуждающий  (Первый вариант – создав проблемную ситуацию, учитель анализирует фактический материал, делает выводы и обобщения.
   Второй вариант – излагая тему, учитель идёт путём поиска и открытия учёного, т. е.   создаёт искусственную логику научного поиска путём построения суждений и умозаключений на основе логики познавательного процесса)
диалогический  (Представляет диалог учителя с коллективом учащихся.
   Учитель, в созданной им проблемной ситуации, сам ставит проблему и решает её, но с учащихся. Учащиеся участвуют в постановке проблемы, выдвижении предположений и доказательстве гипотез)
эвристический (открытие нового закона или правила совершается не учителем при участии учащихся, а самими учащимися под руководством и с учителя)
исследовательский  (Организуется учителем путём постановки перед учащимися теоретических и практических исследовательских заданий, имеющих высокий уровень проблемности. Ученик совершает логические операции самостоятельно, раскрывая сущность нового понятия и нового действия)
программированный (Учащиеся с подготовленных дидактических средств приобретают новые знания и новые действия)
4,5(10 оценок)
Ответ:
ladalis22
ladalis22
09.10.2022
Победы
Тип Государственный
Официально День Победы
Установлен в ознаменование победы советского народа в Великой Отечественной войне указом Президиума Верховного Совета СССР от 8 мая 1945 года
Отмечается нерабочий день в России, Армении, Белоруссии, Грузии, Казахстане, Сербии, Киргизии, Молдавии, Таджикистане, Туркменистане, Азербайджане, Узбекистане, Израиле[1], Южной Осетии, Абхазии и Приднестровье.
Дата 9 мая
Празднование парад, панихида, возложение венков
Связан с Великой Отечественной войной
День Побе́ды — праздник победы Красной армии и советского народа над нацистской Германией в Великой Отечественной войне 1941—1945 годов. Установлен Указом Президиума Верховного Совета СССР от 8 мая 1945 года[2] и отмечается 9 мая каждого года.

В День Победы производится организованное шествие к Могиле Неизвестного Солдата (в Москве), парад в городах-героях, праздничный салют.

Кроме того, впервые проведённая в 2012 году в Томске акция «Бессмертный полк»[3] год от года охватывает всё большее число городов и стран[4]. В 2015 году акция собрала около 12 миллионов человек, принявших участие в шествии по России в целом[5]. В одной лишь Москве акция собрала 500 тысяч участников[6], включая президента России В. В. Путина[7].
4,5(86 оценок)
Это интересно:
Новые ответы от MOGZ: Математика
logo
Вход Регистрация
Что ты хочешь узнать?
Спроси Mozg
Открыть лучший ответ