М
Молодежь
К
Компьютеры-и-электроника
Д
Дом-и-сад
С
Стиль-и-уход-за-собой
П
Праздники-и-традиции
Т
Транспорт
П
Путешествия
С
Семейная-жизнь
Ф
Философия-и-религия
Б
Без категории
М
Мир-работы
Х
Хобби-и-рукоделие
И
Искусство-и-развлечения
В
Взаимоотношения
З
Здоровье
К
Кулинария-и-гостеприимство
Ф
Финансы-и-бизнес
П
Питомцы-и-животные
О
Образование
О
Образование-и-коммуникации
Ruslanchik111
Ruslanchik111
25.03.2020 17:08 •  Математика

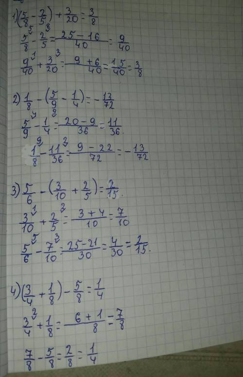
(5/8-2/5)+3/20
1/8-(5/9-1/4)
5/6-(3/10+2/5)
(3/4+1/8)-5/8
С полным решение pls​

👇
Ответ:
Sofia1234567891
Sofia1234567891
25.03.2020

надеюсь все понятно . Но если что то будет не понятно спроси


(5/8-2/5)+3/201/8-(5/9-1/4)5/6-(3/10+2/5)(3/4+1/8)-5/8С полным решение pls​
4,4(71 оценок)
Открыть все ответы
Ответ:
Оленка124683
Оленка124683
25.03.2020

Жидкость - это материальная среда (вещество), обладающая свойством текучести, т.е неограниченно деформироваться под

действием приложенных сил. Данное свойство обусловлено диффузией

молекул, благодаря чему жидкость не имеет собственной формы и принимает форму того сосуда, в котором она находится.

Жидкости подразделяют на две группы: капельные - практически не

сжимаемые и газообразные - легко сжимаемые. Газообразные жидкости, в

отличие от капельных, не имеют свободной поверхности - поверхности

раздела между жидкостью и газообразной средой.

Для упрощения рассматриваемых явлений и вывода ряда законов.

4,4(71 оценок)
Ответ:
bestgad
bestgad
25.03.2020

1. Будьте хорошим слушателем Многие полагают, что лучший убедить человека в чём-либо — сразу начать настойчиво и подробно излагать свою точку зрения и аргументы в её пользу, однако чаще всего подобное поведение лишь препятствует достижению взаимопонимания. Чтобы расположить собеседника к себе, прежде всего необходимо самому стать внимательным и благодарным слушателем. 2. Искренний интерес — залог успеха «Мы интересуемся другими, когда они интересуются нами». Проявите интерес к собеседнику, задайте вопросы, на которые он ответит с удовольствием, выслушайте его рассказ о себе и важных для него вещах. Дав ему возможность выговориться, постарайтесь направить беседу в нужное вам русло, но старайтесь оставаться в рамках интересов собеседника. Как однажды заметил римский поэт Публий  3. Не увлекайтесь критикой «Если хочешь собрать мёд, не опрокидывай улей!» Если взгляд собеседника на предмет обсуждения противоречит вашему мнению, не торопитесь критиковать его и настаивать на своём. Старайтесь быть дипломатичней, больше говорите о том, в чём ваши точки зрения совпадают. Задайте несколько вопросов, на которые собеседник придётся ответить положительно — так будет проще добиться согласия в ходе дальнейшего разговора (так называемый секрет Сократа). В случае, когда вы всё же вынуждены указать собеседнику на ошибку, смягчите критику уместным и искренним признанием достоинств оппонента. Не заостряйте внимание на слабых местах его позиции, упомяните о них вскользь.

Объяснение:

Почитай и сможешь написать на изи

4,5(44 оценок)
Это интересно:
Новые ответы от MOGZ: Математика
logo
Вход Регистрация
Что ты хочешь узнать?
Спроси Mozg
Открыть лучший ответ