
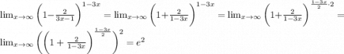
При сложении положительного числа с отрицательным, из отрицательного числа вычитается положительное с положительными коэффициентами, (если отрицательное число больше положительного по числовому коэффициенту), а в ответе знак меняется на противоположный. Например: 5 + (-7 ) = -(7-5) = -2
Если же положительное число больше отрицательного по числовому коэффициенту, тогда из положительного вычитается отрицательное. Например: 7 +(-5) = 7-5 = 2. Знак не меняется.
В данном случае: 0,7 - 0,3 = 0,4 (оба числа положительные, простая операция вычитания).
Если же 0,7 + (-0,3), тогда = 0,7 - 0,3 = 0,4 (т.к. плюс на минус даёт минус по математическому правилу).
Найдем область определения функции y = √(3 – x)
Областью определения функции является, когда выражение под корнем больше или равно 0. То есть получаем:
(3 – x) > = 0;
Сначала раскрываем скобки. Если перед скобками стоит знак минус, то при ее раскрытии, знаки значений меняются на противоположный знак. Если же перед скобками стоит знак плюс, то при ее раскрытии знаки значений остаются без изменений. То есть получаем:
3 – x > = 0;
- (x – 3) > = 0;
При делении в неравенстве на отрицательное число, знак неравенства меняется на противоположный знак. То есть получаем:
X – 3 < = 0;
Получили линейное неравенство в виде x – 3 < = 0
Для того, чтобы решить уравнение, определим какие свойства имеет уравнение:
Уравнение является линейным, и записывается в виде a * x + b = 0, где a и b - любые числа;
При a = b = 0, уравнение имеет бесконечное множество решений;
Если a = 0, b ≠ 0, уравнение не имеет решения;
Если a ≠ 0, b = 0, уравнение имеет решение: x = 0;
Если, а и b - любые числа, кроме 0, то корень находится по следующей формуле x = - b/a.
Отсюда получаем, что a = 1, b = - 3, значит:
X < = - (- 3)/1;
Раскрываем скобки. Так как, перед скобками стоит знак минус, то при ее раскрытии, знаки значений меняются на противоположный знак. То есть получаем:
X < = 3/1;
X < = 3;
Отсюда получаем, что областью определения является x < = 3.
Пошаговое объяснение: