М
Молодежь
К
Компьютеры-и-электроника
Д
Дом-и-сад
С
Стиль-и-уход-за-собой
П
Праздники-и-традиции
Т
Транспорт
П
Путешествия
С
Семейная-жизнь
Ф
Философия-и-религия
Б
Без категории
М
Мир-работы
Х
Хобби-и-рукоделие
И
Искусство-и-развлечения
В
Взаимоотношения
З
Здоровье
К
Кулинария-и-гостеприимство
Ф
Финансы-и-бизнес
П
Питомцы-и-животные
О
Образование
О
Образование-и-коммуникации
shaimyr24
shaimyr24
22.03.2023 23:39 •  Математика

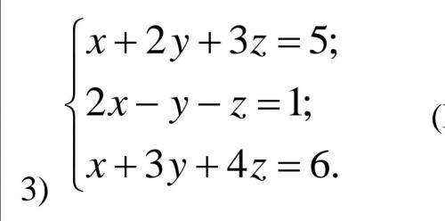
Решите систему уравнений
А) по формулам Крамера
Б) методом Гаусса


Решите систему уравнений А) по формулам Крамера Б) методом Гаусса

👇
Ответ:
kris3256567
kris3256567
22.03.2023

1 , –1 , 2 .

Пошаговое объяснение:

А) по формулам Крамера:

\left|\begin{array}{ccc}1&2&3\\2&-1&-1\\1&3&4\end{array}\right|=1*\left|\begin{array}{cc}-1&-1\\3&4\end{array}\right|-2*\left|\begin{array}{cc}2&-1\\1&4\end{array}\right|+3*\left|\begin{array}{cc}2&-1\\1&3\end{array}\right|=

=1*(-1*4-(-1)*3)-2*(2*4-(-1)*1)+3*(2*3-(-1)*1)=

=(-4-(-3))-2*(8-(-1))+3*(6-(-1))=-4+3-2*(8+1)+3*(6+1)=

=-1-2*9+3*7=-1-18+21=-19+21=2;

Определитель не равен нулю ⇒ матрица совместна.

Теперь поочерёдно вместо 1-го, 2-го и 3-го столбцов будем подставлять столбец свободных членов:

\left|\begin{array}{ccc}5&2&3\\1&-1&-1\\6&3&4\end{array}\right|=5*\left|\begin{array}{cc}-1&-1\\3&4\end{array}\right|-2*\left|\begin{array}{cc}1&-1\\6&4\end{array}\right|+3*\left|\begin{array}{cc}1&-1\\6&3\end{array}\right|=

=5*(-1*4-(-1)*3)-2*(1*4-(-1)*6)+3*(1*3-(-1)*6)=

=5*(-4-(-3))-2*(4-(-6))+3*(3-(-6))=5*(-4+3)-2*(4+6)+

+3*(3+6)=5*(-1)-2*10+3*9=-5-20+27=-25+27=2;

\left|\begin{array}{ccc}1&5&3\\2&1&-1\\1&6&4\end{array}\right|=1*\left|\begin{array}{cc}1&-1\\6&4\end{array}\right|-5*\left|\begin{array}{cc}2&-1\\1&4\end{array}\right|+3*\left|\begin{array}{cc}2&1\\1&6\end{array}\right|=

=1*(1*4-(-1)*6)-5*(2*4-(-1)*1)+3*(2*6-1*1)=

=(4-(-6))-5*(8-(-1))+3*(12-1)=4+6-5*(8+1)+3*11=

=10-5*9+33=10+33-45=43-45=-2;

\left|\begin{array}{ccc}1&2&5\\2&-1&1\\1&3&6\end{array}\right|=1*\left|\begin{array}{cc}-1&1\\3&6\end{array}\right|-2*\left|\begin{array}{cc}2&1\\1&6\end{array}\right|+5*\left|\begin{array}{cc}2&-1\\1&3\end{array}\right|=

=1*(-1*6-1*3)-2*(2*6-1*1)+5*(2*3-(-1)*1)=

=(-6-3)-2*(12-1)+5*(6-(-1))=-9-2*11+5*(6+1)=

=-9-22+5*7=-31+35=4;

Для того, чтобы найти x, y и z, разделим значения полученных определителей на значение исходного определителя соответственно:

x=\frac{2}{2}=1, y=\frac{-2}{2}=-1, z=\frac{4}{2}=2;

x=1, y=-1, z=2;

Б) методом Гаусса:

Запишем матрицу, элементами которой являются коэффициенты при переменных. За чертой расположим свободные члены:

\left(\begin{array}{ccc}1&2&3 | 5\\2&-1&-1 | 1\\1&3&4 | 6\end{array}\right);

Умножая все элементы первой строки на –2 и складывая почленно с элементами второй строки, получим:

\left(\begin{array}{ccc}1&2&3 | 5\\1*(-2)+2&2*(-2)-1&3*(-2)-1 | 5*(-2)+1\\1&3&4 | 6\end{array}\right)=

=\left(\begin{array}{ccc}1&2&3 | 5\\0&-5&-7 | -9\\1&3&4 | 6\end{array}\right);

Умножая все элементы первой строки на –1 и складывая почленно с элементами третьей строки, получим:

\left(\begin{array}{ccc}1&2&3 | 5\\0&-5&-7 | -9\\1*(-1)+1&2*(-1)+3&3*(-1)+4 | 5*(-1)+6\end{array}\right)=

=\left(\begin{array}{ccc}1&2&3 | 5\\0&-5&-7 | -9\\0&1&1 | 1\end{array}\right);

Умножая все элементы второй строки на 0,2 и складывая почленно с элементами третьей строки, получим:

\left(\begin{array}{ccc}1&2&3 | 5\\0&-5&-7 | -9\\0*0,2+0&-5*0,2+1&-7*0,2+1 | -9*0,2+1\end{array}\right)=

=\left(\begin{array}{ccc}1&2&3 | 5\\0&-5&-7 | -9\\0&0&-0,4 | -0,8\end{array}\right);

-0,4z=-0,8;

z=2;

Запишем систему уравнений с новыми данными:

\left \{ {{x+2y+3*2=5}; \atop {-5y-7*2=-9};} \right.

\left \{ {{x+2y+6=5}; \atop {-5y-14=-9};} \right.

\left \{ {{x+2y=5-6}; \atop {-5y=-9+14};} \right.

\left \{ {{x+2y=-1}; \atop {-5y=5};} \right.

\left \{ {{x+2y=-1}; \atop {y=-1};} \right.

\left \{ {{x+2*(-1)=-1}; \atop {y=-1};} \right.

\left \{ {{x-2=-1}; \atop {y=-1};} \right.

\left \{ {{x=-1+2}; \atop {y=-1};} \right.

\left \{ {{x=1}; \atop {y=-1};} \right.

x=1, y=-1, z=2;

4,6(2 оценок)
Открыть все ответы
Ответ:
jdgdjrs
jdgdjrs
22.03.2023
Окружность - это замкнутая кривая линия, все точки которой находятся на равном расстоянии от данной точки плоскости, называемой центром окружности.

Круг - это часть плоскости, ограниченная окружностью. Расстояние от любой точки круга до центра круга не превышает расстояния от центра круга до любой точки на окружности.

Радиус - отрезок прямой линии, соединяющий центр с любой точкой окружности.

Окружность - множество точек на плоскости, расположенном на одинаковом расстоянии от центра.
Диаметр – отрезок прямой линии, соединяющии две точки окружности и проходящий через центр. Можно так - это наибольшая из хорд окружности.

Хорда - прямая, соединяющая две точки кривой линии.
4,8(21 оценок)
Ответ:
Daina1115
Daina1115
22.03.2023
Растения Северной АмерикиБольшая, северная, часть Северной Америки относится к Голарктической флористической области. Более малая, южная, — к Нетропической.

Общее количество видов растений Северной Америки составляет приблизительно 30 тыс. Растения континента часто поражают размерами и скоростью своего роста. Здесь много своеобразных видов: гикория, магнолия, тюльпанное дерево, туя, тсуга, секвойя.

Распределение растительных зон в Северной Америке имеет свои особенности, которые определяются характером ее очертаний, орографии и климата.

Широтные зоны расположены только на севере материка и представлены тундрой и тайгой. Зональность территории, размещенной к югу от Больших озер, имеет меридиональный характер. К западу от побережья Атлантического океана, в связи с уменьшением осадков, леса переходят в лесостепь, дальше лесостепь изменяется степью, которая, в свою очередь, переходит в пустыню. Вдоль побережья Атлантического океана широтная зональность сохраняется. Зону тайги здесь сменяют смешанные, широколистые леса, которые переходят на юго-востоке материка в субтропические вечнозеленые леса.
4,4(28 оценок)
Новые ответы от MOGZ: Математика
logo
Вход Регистрация
Что ты хочешь узнать?
Спроси Mozg
Открыть лучший ответ