М
Молодежь
К
Компьютеры-и-электроника
Д
Дом-и-сад
С
Стиль-и-уход-за-собой
П
Праздники-и-традиции
Т
Транспорт
П
Путешествия
С
Семейная-жизнь
Ф
Философия-и-религия
Б
Без категории
М
Мир-работы
Х
Хобби-и-рукоделие
И
Искусство-и-развлечения
В
Взаимоотношения
З
Здоровье
К
Кулинария-и-гостеприимство
Ф
Финансы-и-бизнес
П
Питомцы-и-животные
О
Образование
О
Образование-и-коммуникации
Alin4ikVP
Alin4ikVP
23.04.2021 03:42 •  Математика

Найдите наименьшее целое решение неравенства 1/5х-3>3х-1/5,удовлетворяющее неравенству х^2<15

👇
Ответ:
vtest1958
vtest1958
23.04.2021

Пошаговое объяснение:

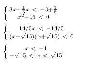
Так как значение первого неравенства должны удовлетворять значениям второго неравенства, то можно решить через систему уравнений.

x∈(-√15; -1) значения х удовлетворяющие обоим неравенствам.

Поскольку мы ищем наименьшие целые значения, то

-√15≈-3,8 следовательно наименьшим целым значением входящим в этот промежуток будет х=-3

ответ х=-3


Найдите наименьшее целое решение неравенства 1/5х-3>3х-1/5,удовлетворяющее неравенству х^2<15
4,8(35 оценок)
Открыть все ответы
Ответ:
макс3033
макс3033
23.04.2021
 Пабло Пикассо родился 25 октября 1881 года в Малаге, шумном портовом городе на юге Испании. Его родители - Мария Пикассо Лопес и Хосе Руис Бласко. Хосе занимался живописью и преподавал ее. В семье было четверо детей, Пабло был старшим. 
В 1895 году семья переехала в Барселону, где Хосе стал работать в художественной школе Ла Лонха. Пикассо начал учиться именно там, а в 1897 году продолжил образование в мадридской Академии изящных искусств. Вскоре он понял, что Академия ничего ему не даст, и вернулся в Барселону, где организовал собственную студию. Ему исполнилось тогда всего 16 лет. 
Пикассо стал героем многочисленных книг, статей, выставок и фильмов еще при жизни. При этом сам художник в последние свои годы крайне редко появлялся на людях, предпочитая тихую уединенную жизнь в обществе Жаклин. Он умер 8 апреля 1973 года в возрасте 91 года и был похоронен в старинном замке Вовенарг, где жил и работал в 1958-1961 годах. 
Его ранние картины чаще всего наполнены грустью. Первоначально он подписывался на них «П. Руис», однако позже дополнил эту подпись девичьей фамилией матери, превратившись в «П. Руис Пикассо». В двадцатилетнем возрасте он взял себе псевдоним, под которым его и узнал весь мир. Псевдоним потребовался Пикассо, чтобы его не путали с отцом. Пабло был на редкость самоуверенным юношей и не сомневался в том, что сумеет добиться грандиозного успеха!
4,5(2 оценок)
Ответ:
EgaBelyaev
EgaBelyaev
23.04.2021
В русской живописи социальный бытовой жанр был ориентирован на и изображение разных сторон крестьянского быта и жизни небогатых горожан ( Венецианов А. Г. , Федотов П. А. , Перов В. Г. , Репин И. Е. и обширная плеяда художников передвижников)

В Бытовой жанр русского критического реализма сатирическое разоблачение крепостнического уклада и сочувствие обездоленным дополнялись глубоким и точным проникновением в душевный мир героев, развёрнутой повествовательностью, подробной драматургической разработкой сюжета и отношений героев.

Эти черты, четко проявившиеся в середине 19 в. в полных жгучей насмешки и боли картинах П. А. Федотова,
http://nearyou.ru/fedotov/0fedotov.html
в рисунках А. А. Агина
http://www.nasledie-rus.ru/podshivka/8904.php
украинского художника Т. Г. Шевченко,
были восприняты в 1860-х гг. жанристами-демократами — В. Г. Перовым, П. М. Шмельковым, сочетавшими прямую и острую публицистичность с глубоким лирическим переживанием жизненных трагедий крестьянства и городской бедноты.

На этой основе вырос, составив новый этап, Бытовой жанр передвижников, который сыграл ведущую роль в их искусстве, исключительно полно и точно отразившем народную жизнь 2-й половины 19 в. , напряженно осмыслявшем её коренные закономерности.

Развёрнутую типизированную картину быта всех слоев русского общества дали Г. Г. Мясоедов, В. М. Максимов, К. А. Савицкий, В. Е. Маковский и — с особой глубиной и размахом — И. Е. Репин, показавший не только варварское угнетение народа, но и таящиеся в нём могучие жизненные силы и героизм борцов за его освобождение. Такая широта задач жанровой картины нередко сближала её с исторической композицией.

В картинах Н. А. Ярошенко, Н. А. Касаткина, С. В. Иванова, А. Е. Архипова в конце 19 — начале 20 вв. отразились противоречия капитализма, расслоение деревни, жизнь и борьба рабочего класса и сельской бедноты.
4,4(30 оценок)
Новые ответы от MOGZ: Математика
logo
Вход Регистрация
Что ты хочешь узнать?
Спроси Mozg
Открыть лучший ответ