М
Молодежь
К
Компьютеры-и-электроника
Д
Дом-и-сад
С
Стиль-и-уход-за-собой
П
Праздники-и-традиции
Т
Транспорт
П
Путешествия
С
Семейная-жизнь
Ф
Философия-и-религия
Б
Без категории
М
Мир-работы
Х
Хобби-и-рукоделие
И
Искусство-и-развлечения
В
Взаимоотношения
З
Здоровье
К
Кулинария-и-гостеприимство
Ф
Финансы-и-бизнес
П
Питомцы-и-животные
О
Образование
О
Образование-и-коммуникации
юля2761
юля2761
27.10.2020 04:23 •  Математика

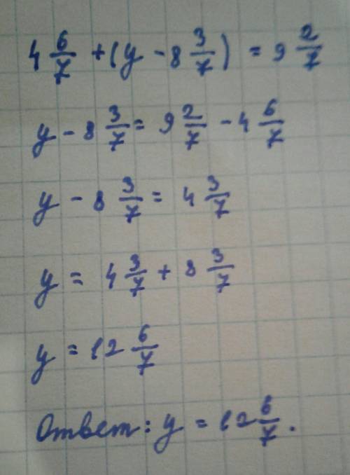
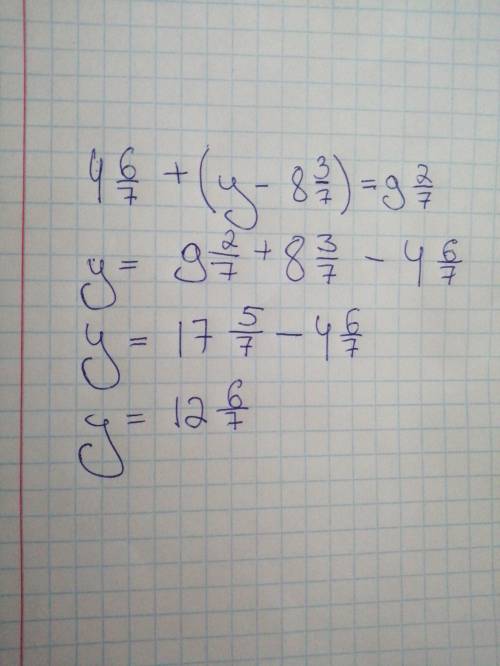
Решите уравнение: 4 целых 6 седьмых+(у-8 целых 3 седьмых=9 целых 2 седьмых

👇
Ответ:
pozdniakova1998
pozdniakova1998
27.10.2020

Пошаговое объяснение:


Решите уравнение: 4 целых 6 седьмых+(у-8 целых 3 седьмых=9 целых 2 седьмых
4,5(71 оценок)
Ответ:
vitalikpchel
vitalikpchel
27.10.2020

ответ:12целых6седьмых


Решите уравнение: 4 целых 6 седьмых+(у-8 целых 3 седьмых=9 целых 2 седьмых
4,6(91 оценок)
Открыть все ответы
Ответ:
Coolplay
Coolplay
27.10.2020
2,25 + 11 целых 1/15 - 7 целых 1/6=2 целых 25/100+ 11 целых 1/15 – 7 целых 1/6=225/100+56/15-43/6=6 целых 3/20 
1)225/100+56/15=(225*3+56*20)/300=(675+3320)/1100=3995/300=799/60=13 целых 19/60
2) 13 целых 19/60-43/6= 799/60-43/6=(799-430)/60=369/60=123/20=6 целых 3/20  

7,6 - 4 целых 2/3 + 2 целых 1/15=76/10-8/3+31/15=5
1) 76/10-14/3=(76*3-14*10)/30=(228-140)/30=88/30=44/15=2 целых 14/5
2) 44/15+31/15=75/15=5  

8,5 + 5/6 - 6,25=85/10+5/6-625/100=3 целых 1/12
1) 85/10+5/6=(85*3+5*5)/30=(255+25)/30=280/30=28/3=9 целых 1/3 2) 28/3-625/100=28/3-25/4=(28*4-25*3)/12=(112-75)/12=37/12=3 целых 1/12  

2,25 + 11 целых 1/15 - 7 целых 1/6=225/100+166/15-43/6=6 целых 3/20 (одинаковый с первым примером)
1) 225/100+166/15=9/4+166/15=(9*15+166*4)/60=(135+664)/60=799/60=13 19/60
2) 799/60-43/6=(799*1-43*10)/60=(799-430)/60=369/60=123/20=6 целых 3/20  

6,8 - 2 целых 1/3 + 1,2=68/10-7/3+12/10=5 целых 2/3
1) 68/10-7/3=(68*3-7*10)/30=(204-70)/30=134/30=67/15=4 целых 7/15 2) 67/15+12/10=67/15+6/5=(67*1+6*3)/15=(67+18)/15=85/15=17/3=5 целых 2/3
4,4(43 оценок)
Ответ:
милашка357
милашка357
27.10.2020
-Доброго дня мамо! Як справи? Як пройшов день?
-Та добре синку. День пройшов добре. Я дуже сьогодні втомилась. Готувала вам їсти, прибирала в хаті, мила посуд. Сьогодні ще й з татом ремонтували сходи. Як справи у школі? Що отримав?
-Та також гарно. Отримав сьогодні одинадцять балів.
-Молодець синку гарну оцінку приніс.
- Матусю, а я коли подорослішаю буду також все вам допомагати. Розкажи як ви ремонтували сходи?
- Тато робив спеціальну рідину з цементу, піску , щебеню і води. Щебінь -це такий спеціальний камінь який використовується у будуванні, а я допомагала татові це все носити.
- Це так цікаво. Ой я ж забув мені потрібно робити домашнє завдання, а тобі відпочивати. Я до тебе прийду трохи пізніше і ти мені ще щось розповіси, а зараз відпочивай.
4,7(77 оценок)
Это интересно:
Новые ответы от MOGZ: Математика
logo
Вход Регистрация
Что ты хочешь узнать?
Спроси Mozg
Открыть лучший ответ