М
Молодежь
К
Компьютеры-и-электроника
Д
Дом-и-сад
С
Стиль-и-уход-за-собой
П
Праздники-и-традиции
Т
Транспорт
П
Путешествия
С
Семейная-жизнь
Ф
Философия-и-религия
Б
Без категории
М
Мир-работы
Х
Хобби-и-рукоделие
И
Искусство-и-развлечения
В
Взаимоотношения
З
Здоровье
К
Кулинария-и-гостеприимство
Ф
Финансы-и-бизнес
П
Питомцы-и-животные
О
Образование
О
Образование-и-коммуникации
Artyom2005738282
Artyom2005738282
25.10.2022 05:09 •  Математика

Решите уравнение и выполните проверку:

👇
Ответ:
cemikhadam
cemikhadam
25.10.2022

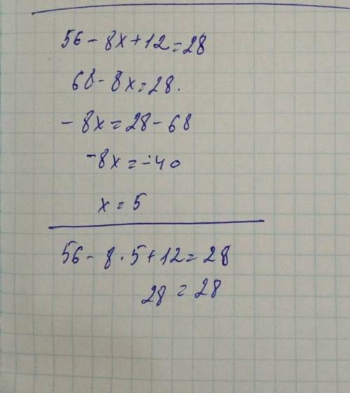
ответ:х=5

Пошаговое объяснение:

56-8х+12=28

68-8х=28

-8х=28-68

-8х=-40

х=5

4,4(72 оценок)
Ответ:
otchygash2
otchygash2
25.10.2022

❤️ Не забывай ПОДПИСЫВАТЬСЯ на меня и оценивать мои ответы


Решите уравнение и выполните проверку:
4,4(47 оценок)
Открыть все ответы
Ответ:
25.10.2022
Ну, например, игра в прятки.. Обязательно правило : спрятаться. Я его исполнял\а так как придерживаясь его интересно играть. Ведь когда никто не прячется, тогда и играть не интересно.

кстати, вот моя любимая игра была казаки-разбойники. есть несколько вариантов как в нее играть : например, одни просто прячутся и рисуют стрелками направление , а казаки находят, садят в тюрьму разбойников и выведывают секретное слово. Мы же прятали листики и сами прятались и казаки искали нас и листики. Но обязательное правило: спрятаться и сбить с тольку казаков. Опять же : для интереса, ведь без этого игра была  б совсем другой и менее интересной
4,6(22 оценок)
Ответ:
Хелена007
Хелена007
25.10.2022
В отличие от общественной гигиены, целью которой является укрепление здоровья всего населения или здоровье популяции, личная гигиена направлена на сохранение и укрепление индивидуального здоровья человекаЛюбые достижения общественной гигиены не достигнут своей цели и не смогут сохранить здоровье человека, который будет пренебрегать основами личной гигиены (соблюдение режима труда и отдыха, полноценный сон, рациональное питание, достаточное пребывание на свежем воздухе, соблюдение чистоты кожных покровов, полости рта, одежды, занятия по закаливанию и физической культуре, отсутствие вредных привычек, таких, как курение и злоупотребление алкоголем и др.). Систематическое невнимательное отношение к гигиеническим условиям жизни ухудшает его здоровье и снижает работо При этом личная гигиена неразрывно связана и с гигиеной в целом, в том числе с общественной. Так, несоблюдение требований личной гигиены в повседневной жизни, особенно представителями некоторых профессий, оказывает неблагоприятное влияние на здоровье окружающих (пассивное курение, возникновение и распространение инфекционных заболеваний и гельминтозов, отравления и т. д.).
4,8(93 оценок)
Новые ответы от MOGZ: Математика
logo
Вход Регистрация
Что ты хочешь узнать?
Спроси Mozg
Открыть лучший ответ