М
Молодежь
К
Компьютеры-и-электроника
Д
Дом-и-сад
С
Стиль-и-уход-за-собой
П
Праздники-и-традиции
Т
Транспорт
П
Путешествия
С
Семейная-жизнь
Ф
Философия-и-религия
Б
Без категории
М
Мир-работы
Х
Хобби-и-рукоделие
И
Искусство-и-развлечения
В
Взаимоотношения
З
Здоровье
К
Кулинария-и-гостеприимство
Ф
Финансы-и-бизнес
П
Питомцы-и-животные
О
Образование
О
Образование-и-коммуникации
Загадака
Загадака
13.12.2022 05:54 •  Математика

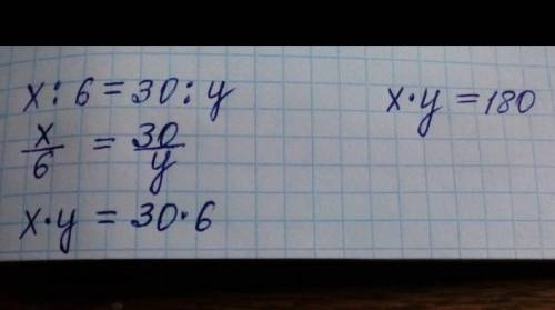
Здана пропорция 10 : 3 = 50 : y... Найдите значение y​

👇
Ответ:
Valeriya0412
Valeriya0412
13.12.2022

попробуй этот пример

объяснений .вот так вот


Здана пропорция 10 : 3 = 50 : y... Найдите значение y​
4,7(11 оценок)
Открыть все ответы
Ответ:
natali251081
natali251081
13.12.2022

1. а)-10,3 б)11/24 в)-1/2 или -0,5 г)2,22

2. фото

3.а)-4 б)-7

4.7,2 км

5.2,8

6.30 холодильников отправили в детские сады

7. на 1 полке было 20 книг, на второй полке было 80 книг

Пошаговое объяснение:

1.

а)-7,4-2,9=-10,3

б)-3/8+5/6=-9/24+20/24=11/24

в)-1 1/7: 2 2/7=-8/7:16/7= -1/2 или -0,5

г)-3,7* (-0,6) =+2,22

3.

а)4х+12=3х+8

4х-3х=8-12

х=-4

б)0,4 (х-3)=0,5 (4+х)-2,5

0,4х-1,2=2+0,5х-2,5

0,4х-0,5х=2-2,5+1,2

-0,1х=0,7

х= -7

4.

масштаб 1:200 000 это в 1 см карты - 2000 м или 2 км.

3,6*2=7,2 км - расстояние между селами.

5.

2 2/3: 3 1/3=х/3,5

х=8/3*35/10:10/3

х=(8*35*3)/(3*10*10)

х=14/5 или 2,8

6.

1)2/3 от 150 холодильников это 150:3*2=100 холодильников отправлено в больницы.

2)150-100 =50 холодильников осталось.

3)50*60/100 =30 холодильников отправлены в детские сады.

7.

Возьмем за х- количество книг на 1 полке

Тогда 4х- книг на 2 полке.

Составим равенство:

х+35=4х-25

4х-х=35+25

3х=60

х=20

20 книг было на 1 полке и 20*4=80 книг было на 2 полке.

Проверим:

На первую полку поставили еще 35 книг: 20+35=55 (стало книг на 1 полке)

Со второй полки убрали 25 книг: 80-25=55 (стало книг на 2 полке)

55=55

*****


Выполните действия: 2.Постройте треугольник МКР, если М(-3;5), К(3;0), Р(0;-5). 3 Решите уравнение:
4,4(42 оценок)
Ответ:
straer122122
straer122122
13.12.2022

#1

(2²)³×2⁵/2⁹ = 2⁶×2⁵/2⁹=2¹¹/2⁹=2²=4

#2

3ху⁴×(-2х²у³)=-6х³у⁷

#3

(х-5у)²=х²-10ху+25у²

#4

5х+4у=20

5×0+4×5=20

20=20

график проходит через точку А(0;5)

#5

9х-27х⁴=9х(1-3х³)

#6

Отнимем от второго уравнения первое:

2х+у=6

у=6-2х

Подставим значение У в первое уравнение:

х+6-2х=5

х=1

у=6-2×1=4

ответ: х=1; у=4

#7

составим таблицу:

х=-1; у=6

х=0; у=4

х=1; у=2

х=2; у=0

х=3; у=-2

По этим данным построй график. Графиком является прямая.

#8

(х-4)(х-6)-(х-2)(х+2)=-2

х²-10х+24-х²+4=-2

-10х+28=-2

-10х=-20

х=3

#9

Составим систему уравнений:

{2х+5у=33

{6х+2у=34

Из второго уравнения найдем У:

у=34-6х/2 = 2(17-3х)/2 = 17-3х

Подставим значение У в первое уравнение:

2х+5(17-3х)=33

2х+85-15х=33

-13х=-52

х=4

у=17-3×4=5

ответ: масса 1 слитка олова = 4кг; масса 1 слитка свинца = 5кг

4,6(91 оценок)
Новые ответы от MOGZ: Математика
logo
Вход Регистрация
Что ты хочешь узнать?
Спроси Mozg
Открыть лучший ответ