М
Молодежь
К
Компьютеры-и-электроника
Д
Дом-и-сад
С
Стиль-и-уход-за-собой
П
Праздники-и-традиции
Т
Транспорт
П
Путешествия
С
Семейная-жизнь
Ф
Философия-и-религия
Б
Без категории
М
Мир-работы
Х
Хобби-и-рукоделие
И
Искусство-и-развлечения
В
Взаимоотношения
З
Здоровье
К
Кулинария-и-гостеприимство
Ф
Финансы-и-бизнес
П
Питомцы-и-животные
О
Образование
О
Образование-и-коммуникации
maryam124
maryam124
31.05.2021 10:37 •  Математика

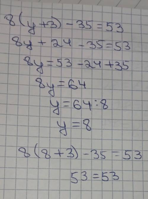
Решите уравнение и выполните проверку:
8(y+3) -35=53

👇
Ответ:
BarTGamE777
BarTGamE777
31.05.2021

ответ показан на фото.


Решите уравнение и выполните проверку: 8(y+3) -35=53
4,8(7 оценок)
Открыть все ответы
Ответ:
kristinakarpen
kristinakarpen
31.05.2021

Пошаговое объяснение:

Всё войско делилось на десятки.Десяткой командовал десятник.Десятью десятками командовал сотник.Десятью сотнями-тысячник.Десятью тысячами-темник (туменбасы).В армии гуннов царила строгая дисциплина и порядок.Рядовые воины подчинялись старшим по званию.

Туменбасы были либо сыновьями либо родственниками правителя.Они возглавляли 24 рода.Все туменбасы подчинялись шаньюю.У каждого туменбаса было 10000 всадников.Каждый рядовой имел доспехи,лук,стрелы,копье и сабля.

Подробнее - на -

4,6(55 оценок)
Ответ:
Sofiagatsenko
Sofiagatsenko
31.05.2021
1. Художественные признаки, свойственные искусству той или иной эпохи это :
а) стиль .
Стиль искусства-это этапы исторического развития искусства,
а направление в искусстве-это художественное течение, мироощущение , которые стремительно меняются во  времени.

2. Один из известнейших музеев России,возникший как частная коллекция императрицы Екатерины II в 1764 году это :
б) Эрмитаж, именно частное собрание Екатерины II в 1764 г. явилось началом Эрмитажа. 

3. Книжный знак, указывающий на владельца книги это:
а) экслибрис ,
так как  эстамп-это  оттиск, отпечаток,  гравюра на бумаге с матрицы.

4. Ксилография это -а) гравюра на дереве, 
так как гравюра на металле-это офорт.

5. Вид печатной графики, в которой краски от руки наносятся на совершенно гладкую поверхность металлической доски и под давлением получается единственный уникальный отпечаток -это
  б) монотипия,
так как  лубок-это вид графики, народного творчества, отличается простотой и доступностью образов.

6. Кто из русских скульпторов является автором квадриги на фронтоне Большого театра в Москве:
б) П.К.Клодт,
а Иван Мартос-русский скульптор-монументалист,автор памятника Минину и Пожарскому.

7. Какой вид искусства называют «синтетическим»
 а) театр- это органическое слияние разных видов искусств,литературы, музыки, хореографии, вокала, изобразительного искусства и других,а музыка-это отдельный вид искусства.

8. Русский актер и театральный деятель 18 века, создатель первого постоянного русского театра это - 
б) Ф.Г. Волков,
так как  Д.И.Фонвизин-  литератор,создатель русской бытовой комедии. 

9. Французский гравер, иллюстратор и живописец 19 века, создатель многочисленных рисунков и иллюстраций к самым значительным произведениям мировой литературы и библии это-
а) Г.Доре,
так как  А.Матисс-это художник и скульптор, лидер течения фовистов. ​​​​​​​

10. Русский театральный режиссер, актер и педагог конца 19 начала 20 века, создатель знаменитой актерской системы, которая на протяжении 100 лет имеет огромную популярность и в России и во всем мире
  б) К.С.Станиславский.
Система Станиславского это знаменитая теория сценического искусства, метод актёрской техники,лучшая актёрская система и классификация принципов игры.
Василий Качалов- Народный артист СССР,легенда  Московского Художественного театра,педагог.
4,6(56 оценок)
Это интересно:
Новые ответы от MOGZ: Математика
logo
Вход Регистрация
Что ты хочешь узнать?
Спроси Mozg
Открыть лучший ответ