М
Молодежь
К
Компьютеры-и-электроника
Д
Дом-и-сад
С
Стиль-и-уход-за-собой
П
Праздники-и-традиции
Т
Транспорт
П
Путешествия
С
Семейная-жизнь
Ф
Философия-и-религия
Б
Без категории
М
Мир-работы
Х
Хобби-и-рукоделие
И
Искусство-и-развлечения
В
Взаимоотношения
З
Здоровье
К
Кулинария-и-гостеприимство
Ф
Финансы-и-бизнес
П
Питомцы-и-животные
О
Образование
О
Образование-и-коммуникации
lololololololololo11
lololololololololo11
07.11.2021 00:21 •  Математика

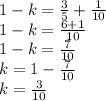
А)1-k=3/5+1/10
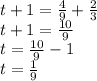
б) t + 1 =4/9+2/3

👇
Ответ:
MariyamGaraeva
MariyamGaraeva
07.11.2021

а)

1 - k = \frac{3}{5} + \frac{1}{10} \\ 1- k = \frac{6 + 1}{10} \\ 1 - k = \frac{7}{10} \\ k = 1 - \frac{7}{10} \\ k = \frac{3}{10}

б)

t + 1 = \frac{4}{9} + \frac{2}{3} \\ t + 1 = \frac{10}{9} \\ t = \frac{10}{9} - 1 \\ t = \frac{1}{9}

4,6(25 оценок)
Ответ:
gadazak
gadazak
07.11.2021

а)

1-k=3/5+1/10

1-k=6/10+1/10

1-k=7/10

k=1-7/10

k=10/10-7/10

k=3/10

б)

t + 1 =4/9+2/3

t + 1 =4/9+6/9

t + 1 =10/9

t=10/9-1

t=10/9-9/9

t=1/9

4,6(59 оценок)
Открыть все ответы
Ответ:
Joker128223
Joker128223
07.11.2021

2. Народное собрание в Афинах

Главным и решающим органом власти в Афинах было Народное собрание. На Народное собрание собирались все граждане независимо от их имущественного положения, проживавшие в городе Афинах, Пирее, в Аттике, на других территориях, входивших в состав Афинского государства (например, жители островов). Женщины не имели права участвовать в политической и общественной жизни.

Народное собрание обладало широкими полномочиями. Здесь принимались государственные законы, утверждалось объявление войны и заключение мира, результаты переговоров с другими государствами, ратифицировались договоры с ними. На Народном собрании избирались должностные лица, магистраты Афинского государства, обсуждались отчеты после их годичного управления, решались дела по продовольственному снабжению города, контролировались сдача в аренду государственных имуществ, земель и рудников, утверждались наиболее крупные завещания. Оно осуществляло контроль за воспитанием юношей, готовящихся к получению гражданских прав. В компетенцию Народного собрания входило проведение такого чрезвычайного мероприятия по охране государственного строя от происков знатных лиц, как остракизм, т. е. изгнание на 10 лет всякого лица, заподозренного в намерении свергнуть демократический строй.

4,8(76 оценок)
Ответ:
vladimirko0909
vladimirko0909
07.11.2021

Осмелюсь предположить, что Вам дана в задании система из двух уравнений(хотя об этом в задании не сказано). Но если всё же это система уравнений, то смело можем поступить следующим образом:

а) Сложим верхнее и нижнее уравнения, т.е почленно левую часть верхнего уравнения с левой частью нижнего уравнения, а также правую часть верхнего уравнения с правой частью нижнего уравнения, между частями знак =.

В результате сложения , у Вас должно получиться уравнение:

0= -2·(p - h + s)+ 2·v * t или 2·(p - h + s)=2·v * t или t=(p - h + s)/v

б) Если теперь, поступить как и в первом случае, но теперь уже вычесть из верхнего уравнения нижнее, то у Вас должно получиться:

2·a * sin(w * t / a)=0 или sin(w * t / a)=0, а так как arcsin0=π/2, то получим (w * t / a)=π/2 или t=(π·a)/2·w

Пошаговое объяснение:

4,7(74 оценок)
Новые ответы от MOGZ: Математика
logo
Вход Регистрация
Что ты хочешь узнать?
Спроси Mozg
Открыть лучший ответ