М
Молодежь
К
Компьютеры-и-электроника
Д
Дом-и-сад
С
Стиль-и-уход-за-собой
П
Праздники-и-традиции
Т
Транспорт
П
Путешествия
С
Семейная-жизнь
Ф
Философия-и-религия
Б
Без категории
М
Мир-работы
Х
Хобби-и-рукоделие
И
Искусство-и-развлечения
В
Взаимоотношения
З
Здоровье
К
Кулинария-и-гостеприимство
Ф
Финансы-и-бизнес
П
Питомцы-и-животные
О
Образование
О
Образование-и-коммуникации
nastyu24022005
nastyu24022005
23.09.2020 04:34 •  Математика

Решить уравнение: (х+14):2=24

👇
Ответ:
timca2014
timca2014
23.09.2020

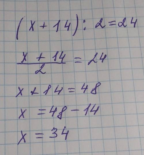
\frac{x + 14}{2} = 24

Решаем по методу пропорции

x + 14 = 2 \times 24

x = 48 - 14

x = 34

ответ: х = 34

4,8(28 оценок)
Ответ:
mir32
mir32
23.09.2020

34

Пошаговое объяснение:

1. сократить дробь.

2. умножьте обе части.

3. перенеси константу в правую часть равенства.

4. вычисли


Решить уравнение: (х+14):2=24​
4,6(81 оценок)
Открыть все ответы
Ответ:
nadir7207
nadir7207
23.09.2020
Условие:
рожь - 6 частей муки и 2 части отрубей.
1 тонна ржи - ? кг муки и ? кг отрубей.

Решение:
1) 6 (час.) + 2 (час.) = 8 (час.) - всего продуктов получается при ржи, из них: 6 частей или 6/8 от общего числа полученных продуктов - мука, 2 части или 2/8 от общего числа полученных продуктов - отруби.
2) 1 (т) : 8 (час.) = 1.000 (кг) : 8 (час.) = 125 (кг) - 1 часть продуктов.
3) 125 (кг) * 6 (час.) = 750 (кг) - 6 частей, которые приходятся на муку.

Или 2 и 3 пункты можно объединить:
2) 1 (т) : 8 (час.) * 6 (час.) = 1.000 (кг) : 8 (час.) * 6 (час.) = 125 (кг) * 6 (час.) = 750 (кг).

ответ: 750 кг муки получится, если смолоть 1 тонну ржи.
4,7(66 оценок)
Ответ:
anokhina69
anokhina69
23.09.2020

Язык неотъемлемая часть каждого из нас.Мы живем в и на языке.

Мы все говорим, и мы все слушаем: так что мы все заинтересованы в происхождении слов, в том, как они появляются и умирают. Некоторые слова умирают, некоторые меняют свои значения и все время новые слова появляются в языке.

Есть несколько добавления новых слов в языке. Одним из них является заимствование слов из других языков. В конце 20-го века в английском языке есть много слов, которые были заимствованы из латыни, французский, испанский, итальянский, голландский и другие языки.Слова, которые были заимствованы рассказать нам о странах, откуда они прибыли. К примеру, многие итальянские слова, которые сейчас являются частью английского (опера, оперетта, пианино) относятся к музыке.

Многие слова, что люди заимствуют из других языков названия продуктов питания.

4,5(63 оценок)
Новые ответы от MOGZ: Математика
logo
Вход Регистрация
Что ты хочешь узнать?
Спроси Mozg
Открыть лучший ответ