М
Молодежь
К
Компьютеры-и-электроника
Д
Дом-и-сад
С
Стиль-и-уход-за-собой
П
Праздники-и-традиции
Т
Транспорт
П
Путешествия
С
Семейная-жизнь
Ф
Философия-и-религия
Б
Без категории
М
Мир-работы
Х
Хобби-и-рукоделие
И
Искусство-и-развлечения
В
Взаимоотношения
З
Здоровье
К
Кулинария-и-гостеприимство
Ф
Финансы-и-бизнес
П
Питомцы-и-животные
О
Образование
О
Образование-и-коммуникации
Mrfest
Mrfest
31.03.2023 06:22 •  Математика

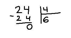
Деление в столбик 24:4=? проверка

👇
Ответ:
Mari333111
Mari333111
31.03.2023

Решение на прикреплённом файле


Деление в столбик 24:4=? проверка
4,6(17 оценок)
Ответ:
Даша2002111111
Даша2002111111
31.03.2023

никакесли только сразу таблицу умножения знать

4,8(74 оценок)
Открыть все ответы
Ответ:
ehadid
ehadid
31.03.2023

Пошаговое объяснение:

Обычно, когда вы хотите получить рабочее место, вы направляете работодателю заявление о приеме на работу и своё резюме, или CV. Иногда заявление о приеме на работу может быть выполнено в виде записанного видео, портфолио или интернет-сайта. Заявление о соискании вакансии и CV необходимо писать на том же языке, на котором составлено объявление о вакансии.

Каждый раз, когда вы подаёте заявление на новое место работы, не забудьте обновить своё заявление и CV. Вы можете написать заявление прямо в тексте или приложить его отдельным документом, как и своё резюме к электронному письму. Все приложения должны быть только в формате PDF. Зачастую вы можете отправить заявление и CV через сайт работодателя.

Вы подаёте заявление для того, чтобы заинтересовать работодателя и попасть на собеседование. Заявление – это ответ на объявление о наличии вакансии. Вы должны соответствовать тем требованиям и пожеланиям, которые были указаны в объявлении о наличии вакансии. Особо подчеркните те моменты, которые важны для данной должности. Приведите конкретные примеры своих умений и навыков. Убедите работодателя в том, что вы подходите для этой должности.

Заявление обычно должно помещаться на одной странице. Попросите кого-нибудь прочитать и проверить ваше заявление

4,8(87 оценок)
Ответ:
nadia6191
nadia6191
31.03.2023

@user384403.0:https://kids-tale.ru/motobloger-aleksandr-diablo-r1-razbilsja-foto-s-mesta-avarii/@ayansagatbek0:[email protected]:ᶜʸᵇᵉʳˢᵖᵒʳᵗ@dipaints:https://youtu.be/1BGKfsIky-4 видео как диабло влетел в фуру, посмотрите и сделайте выводы[email protected]:https://youtu.be/1BGKfsIky-4 видео как диабло влетел в фуру, посмотрите и сделайте выводы[email protected]:https://youtu.be/1BGKfsIky-4 видео как диабло влетел в фуру, посмотрите и сделайте выводы[email protected]:https://youtu.be/1BGKfsIky-4 видео как диабло влетел в фуру, посмотрите и сделайте выводы[email protected]:https://youtu.be/1BGKfsIky-4 видео как диабло влетел в фуру, посмотрите и сделайте выводы[email protected]:https://youtu.be/1BGKfsIky-4 видео как диабло влетел в фуру, посмотрите и сделайте выводы[email protected]:https://youtu.be/1BGKfsIky-4 видео как диабло влетел в фуру, посмотрите и сделайте выводы

Пошаговое объяснение:

Міне осы дурыс сеньесенөткіз ткізіпөткізіпнәтижесіөткізіпқазақстаннаатындағыатындағыатындағыатындағыатындағыатындағыатындағыатындағыатындағыатындағыатындағыатындағыатындағыатындағыатындағыатындағыатындағыатындағықазіргіиииатындағынаменатындағыатындағыатындағыатындағыатындағыатындағыатындағыатындағыатындағыатындағыатындағыатындағыатындағыатындағыатындағышёллалткнанаинанаатындағыатындағы

4,7(7 оценок)
Новые ответы от MOGZ: Математика
logo
Вход Регистрация
Что ты хочешь узнать?
Спроси Mozg
Открыть лучший ответ