М
Молодежь
К
Компьютеры-и-электроника
Д
Дом-и-сад
С
Стиль-и-уход-за-собой
П
Праздники-и-традиции
Т
Транспорт
П
Путешествия
С
Семейная-жизнь
Ф
Философия-и-религия
Б
Без категории
М
Мир-работы
Х
Хобби-и-рукоделие
И
Искусство-и-развлечения
В
Взаимоотношения
З
Здоровье
К
Кулинария-и-гостеприимство
Ф
Финансы-и-бизнес
П
Питомцы-и-животные
О
Образование
О
Образование-и-коммуникации
listik194
listik194
06.12.2021 20:06 •  Математика

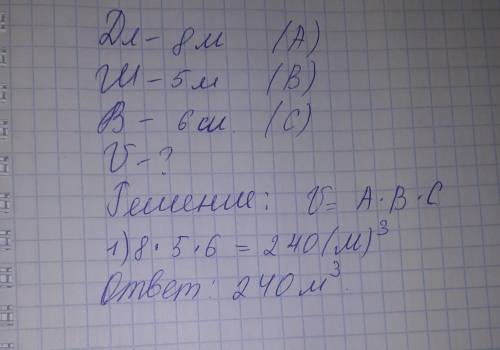
Задание 2 Реши задачу. Записывая ДАНО: (4б) Длина комнаты 8 м, ширина 5 м, высота 6м. Найди объем комнаты.
(отправлять фоткой)​

👇
Ответ:
ВАС12237
ВАС12237
06.12.2021

240м3

Пошаговое объяснение:

8*5*6=240

4,6(22 оценок)
Ответ:
olka11022000
olka11022000
06.12.2021

ответ:надеюсь понятный почерк

Пошаговое объяснение:

Всё объяснила в фото.


Задание 2 Реши задачу. Записывая ДАНО: (4б) Длина комнаты 8 м, ширина 5 м, высота 6м. Найди объем ко
4,6(24 оценок)
Открыть все ответы
Ответ:
kseniafomina99
kseniafomina99
06.12.2021

ответ:   шв . І лиж . 12 км/год , а шв . ІІ лиж . 10 кмЇгод .

Пошаговое объяснение:

608 .  Нехай шв .  ІІ  лиж.  х км/год , тоді  шв .  І лиж.  ( х + 2 ) км/год .

        Рівняння : 20/x - 20/( x + 2 ) = 20/60 ;

                          1/x - 1/( x + 2 ) - 1/60 = 0 ;│X 60x( x + 2 ) ≠ 0

           60( x + 2 ) - 60x - x( x + 2 ) = 0  ;

           60x + 120 - 60x - x² - 2x = 0 ;

           - x² - 2x + 120 = 0 ;

             x² + 2x - 120 = 0 ;    D = 484 > 0 ;  x₁ = - 12 < 0 ;  x₂ = 10 .  

   при х = 10 ;  60* 10( 10 + 2 ) ≠ 0 ;   Х + 2 = 10 + 2 = 12 .

4,5(40 оценок)
Ответ:
hlebushek225
hlebushek225
06.12.2021

В решении.

Пошаговое объяснение:

Решение задач с систем линейных уравнений с 2-мя неизвестными

№1

Вычисли площадь прямоугольной спортивной площадки, если ее периметр равен 430 м, а длина площадки на 35 м больше её ширины.

х - длина площадки;

у - ширина площадки;

По условию задачи система уравнений:

х - у = 35

2(х + у) = 430

Выразить х через у в первом уравнении, подставить выражение во второе уравнение и вычислить у:

х = 35 + у

2(35 + у + у) = 430

2(35 + 2у) = 430

70 + 4у = 430

4у = 430 - 70

4у = 360

у = 360/4  (деление)

у = 90 (м) - ширина площадки;

Теперь подставить  значение у в любое из двух уравнений системы и вычислить  х:

х = 35 + у

х = 35 + 90

х = 125 (м) -  длина площадки;

Проверка:

2(125 + 90) = 2 * 215 = 430 (м), верно;

Площадь площадки:

125 * 90 = 11250 (м²).

4,8(49 оценок)
Это интересно:
Новые ответы от MOGZ: Математика
logo
Вход Регистрация
Что ты хочешь узнать?
Спроси Mozg
Открыть лучший ответ