М
Молодежь
К
Компьютеры-и-электроника
Д
Дом-и-сад
С
Стиль-и-уход-за-собой
П
Праздники-и-традиции
Т
Транспорт
П
Путешествия
С
Семейная-жизнь
Ф
Философия-и-религия
Б
Без категории
М
Мир-работы
Х
Хобби-и-рукоделие
И
Искусство-и-развлечения
В
Взаимоотношения
З
Здоровье
К
Кулинария-и-гостеприимство
Ф
Финансы-и-бизнес
П
Питомцы-и-животные
О
Образование
О
Образование-и-коммуникации
SophiakoSheleva5666
SophiakoSheleva5666
20.02.2020 10:37 •  Математика

Система уравнений: 3x+4y=7
5x-2y=3

👇
Ответ:
Нezнaйка
Нezнaйка
20.02.2020

(1;1)

Пошаговое объяснение:

\left \{ {{3x+4y=7} \atop {5x-2y=3}} \right.

\left \{ {{3x+4y=7} \atop {5x*2-2y*2=3*2}} \right.

\left \{ {{3x+4y=7} \atop {10x-4y=6}} \right.

\left \{ {{10x-4y+3x+4y=6+7} \atop {10x-4y=6}} \right.

\left \{ {{13x=13} \atop {10x-4y=6}} \right.

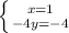
\left \{ {{x=1} \atop {10x-4y=6}} \right.

\left \{ {{x=1} \atop {10*1-4y=6}} \right.

\left \{ {{x=1} \atop {-4y=6-10}} \right.

\left \{ {{x=1} \atop {-4y=-4}} \right.

\left \{ {{x=1} \atop {y=1}} \right.

(1;1).

4,5(39 оценок)
Ответ:
elyavlasova
elyavlasova
20.02.2020

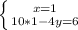
3х+4у=7

5х-2у=3 |•(2)

3х+4у=7

10х-4у=6

13х=13

х=1

3(1)+4у=7

4у =7-3

4у=4

у=1

(1;1)

4,5(85 оценок)
Открыть все ответы
Ответ:
Dimoooon12321
Dimoooon12321
20.02.2020

Карточка для подготовки к ВШК ( деление с остатком)

1.       Выполни деление с остатком и сделай проверку.
37 : 6 = 6 и ост. 1, Проверка: 6*6+1=36+1=37
47 : 9 = 5 и ост. 2, Проверка: 9*5+2=45+2=47
123 :6 = 20 и ост. 3, Проверка: 20*6+3=120+3=123

2.      2. Найти делимое, если делитель 6, неполное частное 9, остаток 1.

6*9+1=54+1=55 - делимое
3. Найти делитель, если неполное частное 8, делимое 59, остаток 3

(59-3):8=7 - делитель.
4. На экскурсию поехали 38 человек. Сколько нужно микроавтобусов, если в каждый микроавтобус входят по 9 человек?

38:9=4 и ост. 2. – значит потребуется 4 автобуса, но ещё для двух человек стоячие места
5. Из 900 г металла отливают детали. Сколько деталей получится, если на каждую деталь идет 40 г

900:40=22 и ост 20 г.



4,8(21 оценок)
Ответ:
klimdjan
klimdjan
20.02.2020

700 - (х + 120) = 400                        45 : х = 584 - 579

х + 120 = 700 - 400                          45 : х = 5

х + 120 = 300                                    х = 45 : 5

х = 300 - 120                                     х = 9

х = 180                                              - - - - - - - - - - - - - - - - - - -

- - - - - - - - - - - - - - - - - - -                   Проверка:

Проверка:                                        45 : 9 = 584 - 579

700 - (180 + 120) = 400                    5 = 5

700 - 300 = 400

400 = 400

4,6(1 оценок)
Это интересно:
Новые ответы от MOGZ: Математика
logo
Вход Регистрация
Что ты хочешь узнать?
Спроси Mozg
Открыть лучший ответ