М
Молодежь
К
Компьютеры-и-электроника
Д
Дом-и-сад
С
Стиль-и-уход-за-собой
П
Праздники-и-традиции
Т
Транспорт
П
Путешествия
С
Семейная-жизнь
Ф
Философия-и-религия
Б
Без категории
М
Мир-работы
Х
Хобби-и-рукоделие
И
Искусство-и-развлечения
В
Взаимоотношения
З
Здоровье
К
Кулинария-и-гостеприимство
Ф
Финансы-и-бизнес
П
Питомцы-и-животные
О
Образование
О
Образование-и-коммуникации
nadya1801
nadya1801
11.05.2021 20:20 •  Математика

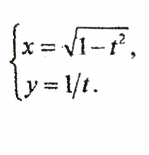
Найти производную первого и второго порядка, заданной параметрически уравнениями


Найти производную первого и второго порядка, заданной параметрически уравнениями

👇
Открыть все ответы
Ответ:
Khamidullovaals
Khamidullovaals
11.05.2021

Пошаговое объяснение:

 а) 64:    

64   2           (64 : 2 = 32)

32   2      (32 : 2 = 16)

16   2       (16 : 2 = 8)

8    2       (8 : 2 = 4)

4    2       (4 : 2 = 2)

2   2       (2 : 2 = 1)

1    

64 = 2 · 2 · 2 · 2 · 2 · 2 = 2^6

***

б) 200

200    2       (200 : 2 = 100)

100    2       (100 : 2 = 50)

50     2       (50 : 2 = 25)

25     5       (25 : 5 = 5)

5     5       (5 : 5 = 1)

1    

200 = 2 · 2 · 2 · 5 · 5 = 2^3 · 5^2

***

в) 288:

288    2       (288 : 2 = 144)

144    2       (144 : 2 = 72)

72     2       (72 : 2 = 36)

36     2       (36 : 2 = 18)

18     2       (18 : 2 = 9)

9     3       (9 : 3 = 3)

3     3       (3 : 3 = 1)

1    

288 = 2 · 2 · 2 · 2 · 2 · 3 · 3 = 2^5 · 3^2

г) 256:

256    2       (256 : 2 = 128)

128    2       (128 : 2 = 64)

64     2       (64 : 2 = 32)

32     2       (32 : 2 = 16)

16     2       (16 : 2 = 8)

8     2       (8 : 2 = 4)

4     2       (4 : 2 = 2)

2     2       (2 : 2 = 1)

1    

256 = 2 · 2 · 2 · 2 · 2 · 2 · 2 · 2 = 2^8

д) 333:

333    3       (333 : 3 = 111)

111     3       (111 : 3 = 37)

37     37       (37 : 37 = 1)

1    

333 = 3 · 3 · 37 = 3^2 · 37

***

е) 346:

346    2       (346 : 2 = 173)

173     173       (173 : 173 = 1)

1    

346 = 2 · 173

***

ж) 512:

512    2       (512 : 2 = 256)

256    2       (256 : 2 = 128)

128    2       (128 : 2 = 64)

64     2       (64 : 2 = 32)

32     2       (32 : 2 = 16)

16     2       (16 : 2 = 8)

8     2       (8 : 2 = 4)

4     2       (4 : 2 = 2)

2     2       (2 : 2 = 1)

1    

512 = 2 · 2 · 2 · 2 · 2 · 2 · 2 · 2 · 2 = 2^9

***

з) 8100 :

8100    2       (8100 : 2 = 4050)

4050   2       (4050 : 2 = 2025)

2025   3       (2025 : 3 = 675)

675    3       (675 : 3 = 225)

225    3       (225 : 3 = 75)

75     3       (75 : 3 = 25)

25     5       (25 : 5 = 5)

5     5       (5 : 5 = 1)

1    

8100 = 2 · 2 · 3 · 3 · 3 · 3 · 5 · 5 = 2^2 · 3^4 · 5^2

и) 4096:

4096    2       (4096 : 2 = 2048)

2048    2       (2048 : 2 = 1024)

1024     2       (1024 : 2 = 512)

512       2       (512 : 2 = 256)

256     2       (256 : 2 = 128)

128     2       (128 : 2 = 64)

64     2       (64 : 2 = 32)

32     2       (32 : 2 = 16)

16     2       (16 : 2 = 8)

8     2       (8 : 2 = 4)

4     2       (4 : 2 = 2)

2     2       (2 : 2 = 1)

1    

4096 = 2 · 2 · 2 · 2 · 2 · 2 · 2 · 2 · 2 · 2 · 2 · 2 = 2^12

к) 2500

2500    2      (2500 : 2 = 1250)

1250    2       (1250 : 2 = 625)

625    5       (625 : 5 = 125)

125    5       (125 : 5 = 25)

25     5       (25 : 5 = 5)

5     5       (5 : 5 = 1)

1    

2500 = 2 · 2 · 5 · 5 · 5 · 5 = 2^2 · 5^4

***

л) 888

888    2       (888 : 2 = 444)

444    2       (444 : 2 = 222)

222    2       (222 : 2 = 111)

111     3       (111 : 3 = 37)

37     37       (37 : 37 = 1)

1    

888 = 2 · 2 · 2 · 3 · 37 = 2^3 · 3 · 37

***

м) 2525

2525     5       (2525 : 5 = 505)

505      5         (505 : 5 = 101)

101      101        (101 : 101 = 1)

1    

2525 = 5 · 5 · 101 = 5^2 · 101

4,6(53 оценок)
Ответ:
yanamartynova6
yanamartynova6
11.05.2021
1)
начинаем с конца) осталось 4 строки не выученной - это половина (1\2  последней части)
4 * 2 = 8 это оставалось после того как она выучила 1\2 и 4 строки
(теперь нам нужна 1\2 и 4 строки, которые выучила в начале)
8 + 4 = 12 - это 1\2 + 4 строки

(8 + 4)* 2 = 12 * 2 = 24 всего

2) пусть всего строк - х1\2=0.5
сначала выучила : 0.5х+4
выучила потом (х - (0,5х + 4) ) * 0.5 = (х - 0.5х - 4) * 0.5 = 0.5 х - 0.25 - 2 = 0.25х - 2
осталось 4 строки

получаем уравнение:

0.5х + 4 + 0.25х - 2 + 4 =  х

 4 + 4 - 2 = х - 0.5 х - 0.25 х 

х - 0.5х - 0.25х = 6

0.25 х = 6

х = 6 : 0.25

х = 24 всего


4,8(82 оценок)
Это интересно:
Новые ответы от MOGZ: Математика
Полный доступ к MOGZ
Живи умнее Безлимитный доступ к MOGZ Оформи подписку
logo
Вход Регистрация
Что ты хочешь узнать?
Спроси Mozg
Открыть лучший ответ