М
Молодежь
К
Компьютеры-и-электроника
Д
Дом-и-сад
С
Стиль-и-уход-за-собой
П
Праздники-и-традиции
Т
Транспорт
П
Путешествия
С
Семейная-жизнь
Ф
Философия-и-религия
Б
Без категории
М
Мир-работы
Х
Хобби-и-рукоделие
И
Искусство-и-развлечения
В
Взаимоотношения
З
Здоровье
К
Кулинария-и-гостеприимство
Ф
Финансы-и-бизнес
П
Питомцы-и-животные
О
Образование
О
Образование-и-коммуникации
Nurlan2010
Nurlan2010
27.06.2020 07:30 •  Математика

Угол между векторами a(2;4)b(3;6) равен​

👇
Ответ:
Bon2000
Bon2000
27.06.2020

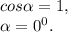
cos\alpha =\frac{a_{x}*b_{x} +a_{y}*b_{y}}{\sqrt{a_{x}^{2}+a_{y}^{2}}\sqrt{b_{x}^{2}+b_{y}^{2}}}

a_{x}=2\\b_{x}=3\\a_{y}=4\\b_{y}=6

cos\alpha =\frac{2*3 +4*6}{\sqrt{2^{2}+4^{2}}\sqrt{3^{2}+6^{2}}} =\frac{6 +24}{\sqrt{4+16}\sqrt{9+36}} =\frac{30}{\sqrt{20}*\sqrt{45}} =\frac{30}{\sqrt{900}}=\frac{30}{\sqrt{9*100}}= \frac{30}{{3*10}}=\frac{30}{{30}}=1.

cos\alpha =1,\\\alpha =0^{0} .

P.S. только вместо альфа угол фи.

4,7(71 оценок)
Открыть все ответы
Ответ:
mastermax217
mastermax217
27.06.2020
Плотность керосина ρ = 800 кг/м³ = 0,8 кг/дм³ = 0,8 кг/л

Масса керосина: m₁ = ρV = 0,8 * 3/4  = 0,8 * 0,75 = 0,6 (кг)
                             m₂ = 0,8 * 1/2 = 0,4 (кг)
                             m₃ = 0,8 * 2/5 = 0,8 * 0,4 = 0,32 (кг)

ответ: 0,6 кг; 0,4 кг; 0,32 кг.
 
Или так:

   1 л - 4/5 кг
3/4 л - ?                3/4 * 4/5 : 1 = 3/5 = 0,6 (кг)

   1 л - 4/5 кг
1/2 л - ?                1/2 * 4/5 : 1 = 2/5 = 0,4 (кг)

    1 л - 4/5 кг
 2/5 л - ?               2/5 * 4/5 : 1 = 8/25 = 0,32 (кг)

ответ: 0,6 кг; 0,4 кг; 0,32 кг.
4,6(93 оценок)
Ответ:
VladShevshenko228
VladShevshenko228
27.06.2020

Каждый человек от рождения имеет естественные права. Все они закреплены в Декларации прав человека, принятой международным сообществом. Удивительно, но людям потребовались целые столетия, чтобы понять свои права и утвердить их. А ведь они такие простые и ясные! Я думаю, что если все люди будут уважать свои и чужие права, на Земле станет значительно меньше горя, слез и несправедливости.

Первым и главным правом человека является его право на жизнь. Оно должно быть священным для всех. Также каждый имеет право не просто прожить свою жизнь, но прожить ее достойно. Чтобы никто другой не унижал личность, ни морально, ни физически. Не бил, не запугивал, не принуждал к чему-то. Человек имеет право на личное достоинство и свободу. И поэтому он имеет право свободно выбирать: на кого учиться, где работать, кого любить.

Также каждому дается право на частную собственность. Такова человеческая природа, что все мы желаем иметь что-то свое: дом, автомобиль и другие вещи. Никто не имеет права отбирать это у нас.

Защищать права человека должно государство и его законы. Но людям часто приходится защищать себя именно от государства и его руководителей. Еще семьдесят лет назад в нашей стране расстреливали ребят, которые не хотели служить в армии. В то же время в Европе некоторым слабым здоровьем женщинам запрещали рожать детей ради "чистоты нации".

Очень хорошо, что эти времена человечество стало более сознательным. Но нельзя сказать, что права человека в целом соблюдаются хорошо, и в нашей стране тоже. Для богатых и влиятельных граждан права как будто шире, а для простого народа - уже.

Лично я считаю, что каждый из нас должен сам следить, не нарушаются ли его права и свободы. И конечно, отстаивать их. А также, и это главное - уважать права других, не меньше, чем собственные. Тогда наше государство сможет называться правовым.

4,8(37 оценок)
Новые ответы от MOGZ: Математика
logo
Вход Регистрация
Что ты хочешь узнать?
Спроси Mozg
Открыть лучший ответ