


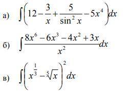
Формула прямой пропорциональности линейной функции у=к*х+в, есть у=к*х, где к и в некоторые числа, х - переменная.
к - угловой коэффициент или коэффициент прямой пропорциональности, если угловые коэффициенты у двух функций одинаковые, то прямые параллельны и являются прямо пропорциональными, если разные, то прямые пересекаются.
Функция обратной пропорциональности у=к/х.
Формулы
1) у=-12*х, 3) у=-3*х, 4)у=0,8*х, 6) у=(-2/5)*х, 7) у=15*х являются формулами прямой пропорциональности, так как имеют вид у=к*х
Пошаговое объяснение: