Пошаговое объяснение:
у меня так вышла
должно быть правильно
x ∈ (1; 2] ∪ {3}
Пошаговое объяснение:

решим неравенство методом интервалов. Для этого приравняем и числитель и знаменатель к нулю:
x-2=0; x=2
x-3=0; x=3
x-1=0; x=1
изобразим точки на координатной прямой. Точка "1" будет выколота, так как она обнулит знаменатель, а на 0 делить нельзя. Точки "2" и "3" будут закрашенными, т.к знак неравенства "меньше или равно" (см рис)
знак крайнего правого интервала будет + (можно взять число "100" и подставить в неравенство), дальше "+"; "-"; "+" (подставляем точки из этих интервалов в неравенство и ищем знак)
т.к знак неравенства "≤0", то выбираем интервалы с "-"
также отдельно берем точку "3", т.к она обнулит числитель, а это нас устраивает
x ∈ (1; 2] ∪ {3}

Пошаговое объяснение:
Пусть в каждом гардеробе было по 15 мест, представим гардероб как последовательность нулей и единиц: 0 — школьник разделся в другом гардеробе, 1 — школьник разделся в этом гардеробе. Тогда ситуация выглядит примерно так:
I: 110010100011101
II: 001101011100010
Если в первом гардеробе задана некоторая последовательность, то она однозначно задаёт последовательность второго гардероба. На каждой позиции первого гардероба может быть либо 0, либо 1, поэтому, учитывая однозначность, всего возможных ситуаций 2¹⁵ = 32768.
Если в правом гардеробе занято вдвое мест, чем в левом, то есть вдвое больше единиц, чем в левом (10 в правом, 5 в левом), то искомое количество подходящих ситуаций — число расставить 10 единиц в правом гардеробе.

Искомая вероятность равна
.
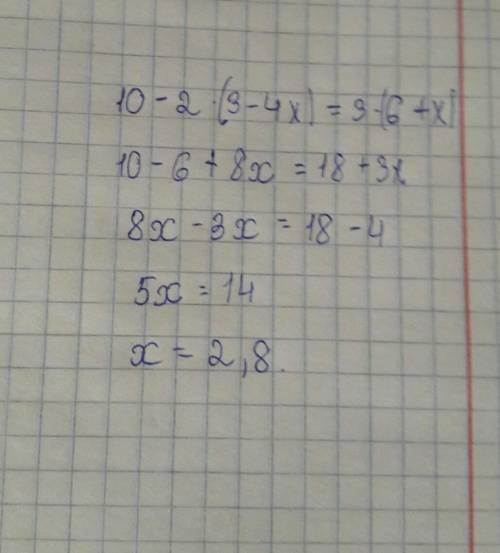
10+(-2)·(3-4х)=3·(6+х)
10-6+8х=18+3х
8х-3х=18-4
5х=14
х=2,8
Пошаговое объяснение:
Это легко