
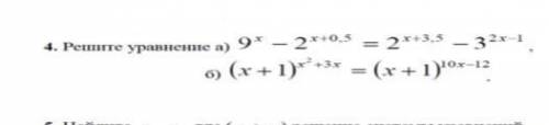
пошаговое объяснение:
a) √2cos2x< < 1 b)2㏒²₅x-10㏒₂₅x+2=0
cos2x< < 1/√2=√2/2 2log²₅x-10log₅^²x+2=0
2x=π/4+2πk, k∈z 2log²₅x-10/2log₅x+2=0
x=π/8+πk, k∈z пусть log₅x=t
2t²-5t+2=0
d=(-5)²-4*2*2=25-16=9
x₁=(5+3)/2*2=8/4=2
x₂=(5-3)/2*2=2/4=1/2=0.5
решил как уравнение.