М
Молодежь
К
Компьютеры-и-электроника
Д
Дом-и-сад
С
Стиль-и-уход-за-собой
П
Праздники-и-традиции
Т
Транспорт
П
Путешествия
С
Семейная-жизнь
Ф
Философия-и-религия
Б
Без категории
М
Мир-работы
Х
Хобби-и-рукоделие
И
Искусство-и-развлечения
В
Взаимоотношения
З
Здоровье
К
Кулинария-и-гостеприимство
Ф
Финансы-и-бизнес
П
Питомцы-и-животные
О
Образование
О
Образование-и-коммуникации
omim
omim
28.12.2021 13:45 •  Математика

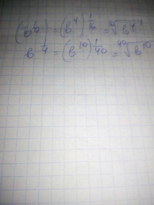
Подайте вираз ⁴√b у вигляді кореня шістнадцятого степеня та сорокового степеня.

👇
Ответ:
Yakov10
Yakov10
28.12.2021

Пошаговое объяснение:


Подайте вираз ⁴√b у вигляді кореня шістнадцятого степеня та сорокового степеня.
4,7(96 оценок)
Открыть все ответы
Ответ:
ninazaripova1
ninazaripova1
28.12.2021

Відповідь:

1.Глагол - самостоятельная часть речи, которая обозначает состояние или действие предмета и отвечает на вопросы что делать? что сделать?                         2.  • Глагол - это часть речи                                                        

3. Глагол отвечает на вопросы что делает?

что сделает?                                                                                                                                                                4. • Глагол обозначают действие предмета                                                                                 5. Часть речи, которая обозначает действие предмета и отвечает на вопросы что делает? что делал? называется глаголом                                                                                6.  3) Обозначает действие предмета и отвечает на вопросы что делает? что делал?                                                                                                                   7. а) изменяется                                                                                                                                        8.   б) сторожит                                                                                                                               9.    Пригрело,    говорит,    рисовал                                                                                        10.      рассказывал.    разговаривал кричал бежал зеленел посадил.     я сегодня в школе рассказывал как я провёл вчерашний день                      11.  солнце жгло светило грело было                                                                                                                                                                                                       ветер дул был                                                                                                                                           река стекла бежала звенела                                                                            трава выросла пила зеленела качалась                                                                              12.        3) качают, помнят, говорит                                                                                                13.       б) учить, учу, учитесь;                                                                                                                                                                                                                                                          14.      3) яблок;                                                                                                                                                    дальше сам роб

4,5(96 оценок)
Ответ:
sowaties
sowaties
28.12.2021

1) -1.3 метра

2)а) 2 + 4/9

2)б) 2

2)б2) -2

3)а)1 + 3/5

3)б)6

3)б2)1/16

4)-10 - 1/4

Пошаговое объяснение:

1)уровень воды снизился на 12.5% => уровень воды стал еще меньше, но т.к. -3.2 метра меньше 0, то достаточно умножить -3.2 метра на (100 + 12.5)%

-3.2 * 112.5 / 100 = -3.6 метра

поднялся на 2.3 метра, следовательно:

-3.6 + 2.3 = -1.3 метра

левый столбик

2)а) (-4/3)^2 = -16/9

-0.625 = -5/8

-16/9 * - 5/8 = 16/9 * 5/8 = 2/9 * 5 = 10/9

4/3 = 12/9

12/9+10/9 = 22/9 = 2 + 4/9

2)б1) (-5)^2 = 25

25/34 * 2 = 50/34

1.36 = 136/100 = 68 / 50 = 34 / 25

34 / 25 * 50 / 34 = 2

2)б2) -7/6 ^ 2 = 49/36

-5/7 ^ 2 = 25/49

49/36 * 25/49 = 25/36

-2.88 = -288/100 = -144/50 = -72/25

25/36 * -72/25 = -2

правый столбик

3)а) -5/12 = -25/60

-13/20 = -39/60

-25/60 - 39/60 = -64/60

-64 / 60 ^ 2 = 4096 / 3600 = 1024 / 900 = 256 / 225

256 / 225 * - 45 / 32 = 8/5 = 1 + 3/5

3)б) -10 ^ 2 = 100

-2.28 * 100/19 = -228/100 * 100/19 = -12

-12 * -0.5 = 6

3)б2)-5/3 ^ 3 = 25 / 9 * -5/3 = -125/27

-75/100 ^ 2 = -3/4 ^ 2 = 9/16

-0.024 = -24/1000 = -12/500 = -6/250 = -3/125

-125/27 * - 3/125 = 125/27 * 3/125 = 3/27 = 1/9

9/16 * 1/9 = 1/16

нижнее задание

4)-2.4 - 6.1 = -8.5

- 85 / 10 * 20 / 17 = -10

-53 / 23 = -106/46

91 / 46 - 106/46 = -15 / 46

(- 15 / 46) / (- 30 / 23 ) = - 15 / 46 * 23 / 30 = - 15/46 * 46/60 = - 1/4

-10 + (- 1/4) = -10 - 1/4

4,5(15 оценок)
Это интересно:
Новые ответы от MOGZ: Математика
logo
Вход Регистрация
Что ты хочешь узнать?
Спроси Mozg
Открыть лучший ответ