М
Молодежь
К
Компьютеры-и-электроника
Д
Дом-и-сад
С
Стиль-и-уход-за-собой
П
Праздники-и-традиции
Т
Транспорт
П
Путешествия
С
Семейная-жизнь
Ф
Философия-и-религия
Б
Без категории
М
Мир-работы
Х
Хобби-и-рукоделие
И
Искусство-и-развлечения
В
Взаимоотношения
З
Здоровье
К
Кулинария-и-гостеприимство
Ф
Финансы-и-бизнес
П
Питомцы-и-животные
О
Образование
О
Образование-и-коммуникации
аличка77
аличка77
25.11.2021 02:56 •  Математика

Найти производную:
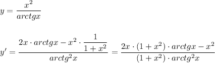
y=x^2/arctgx

👇
Ответ:
wehter83
wehter83
25.11.2021

y=\dfrac{x^2}{arctgx}\\\\\\y'=\dfrac{2x\cdot arctgx-x^2\cdot \dfrac{1}{1+x^2}}{arctg^2x}=\dfrac{2x\cdot (1+x^2)\cdot arctgx-x^2}{(1+x^2)\cdot arctg^2x}

4,4(74 оценок)
Открыть все ответы
Ответ:
Flylama
Flylama
25.11.2021
1.  наливаешь воду в 16-литровое ведро  и переливаешь всё в  15-литровое. остается 1 литр. затем  выливаешь всё из  15-литрового и выливаешь в него 1 литр, который оставался в 16 литровом.2. потом снова  набираешь 16-литровое ведро и переливаешь всё в  15-литровое. сейчас в 16-литровом  осталось  2 литра воды (ведь в 15-литровом ведре уже есть 1 литр воды). выливаешь из 15-литрового всё и заливаешь туда 2 литра из 16-литрового.3. повторяешь так ещё несколько раз, пока не накопится 8 литров.
4,4(87 оценок)
Ответ:
mercurry
mercurry
25.11.2021
Пфф, так как эти углы равны, а АО делит его пополам, то это биссектриса. Здесь можно использовать понятие (осевой) симметрии. Будем поворачивать треугольник АОВ в пространстве вокруг линии ОА. Точки А и О останутся на месте, линия ОВ наложится на линию ОС (углы АОВ и АОС равны!) , при этом точка В совместится с точкой С, потому что длина отрезка АВ равна длине отрезка АС. Значит, отрезок ОВ совместится с отрезком ОС, а значит, ОВ=ОС.
Теперь треугольники АОВ и АОС равны, следовательно, углы ОАВ и ОАС равны.
Да, данная задача ни к одному из трёх признаков равенства треугольников не подходит, и потому требует доказательства (хотя равенство треугольников АОС и АОВ при ТУПЫХ углах АОС и АОВ кажется "очевидным"). Оригинальное доказательство привёл Аленицын.
А то, что углы равны именно 120о, никакой роли не имеет.
4,4(32 оценок)
Это интересно:
Новые ответы от MOGZ: Математика
logo
Вход Регистрация
Что ты хочешь узнать?
Спроси Mozg
Открыть лучший ответ