М
Молодежь
К
Компьютеры-и-электроника
Д
Дом-и-сад
С
Стиль-и-уход-за-собой
П
Праздники-и-традиции
Т
Транспорт
П
Путешествия
С
Семейная-жизнь
Ф
Философия-и-религия
Б
Без категории
М
Мир-работы
Х
Хобби-и-рукоделие
И
Искусство-и-развлечения
В
Взаимоотношения
З
Здоровье
К
Кулинария-и-гостеприимство
Ф
Финансы-и-бизнес
П
Питомцы-и-животные
О
Образование
О
Образование-и-коммуникации
Pomogiteπ
Pomogiteπ
01.12.2021 05:51 •  Математика

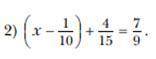
ответе на уравнение а кто решит примеры тому


ответе на уравнение а кто решит примеры тому
ответе на уравнение а кто решит примеры тому

👇
Открыть все ответы
Ответ:
23Олеся1
23Олеся1
01.12.2021

1)числа, возникающие естественным образом при счёте. Последовательность всех натуральных чисел, расположенных в порядке возрастания, называется натуральным рядом.

2)действительное число, которое больше нуля

3)элемент множества отрицательных чисел, которое появилось в математике при расширении множества натуральных чисел

4)расширение множества натуральных чисел, получаемое добавлением к нему нуля и отрицательных чисел

5)Обыкновенная дробь — это частное двух чисел, записанное определенным образом.

Пошаговое объяснение:

удачи)

4,4(67 оценок)
Ответ:
crybaby1916
crybaby1916
01.12.2021
В треугольнике АСД, по условию угол АДС = 600, а угол АСД = 900, тогда угол АСД = 180 – 90 – 60 = 300.
Так как АС биссектриса угла ВАД, то угол ВАД = ВАС + САД = 30 + 30 = 600, следовательно, трапеция равнобедренная и АВ = СД.
Пусть длина АВ = Х см.
В треугольнике АСД, по условию угол АДС = 600, а АС перпендикулярно СД, тогда угол САД = 180 – 90 – 60 = 300.
Катет СД = АВ = Х см, и лежит против угла 300, тогда гипотенуза АД равна длине двух катетов СД.
АД = 2 * СД = 2 * Х.
Тогда периметр трапеции равен:
Р = АВ + ВС + Сд + АД = Х + Х + Х + 2 * Х = 5 * Х = 35 см.
Х = 35 / 5 = 7 см.
АВ = ВС = СД = 5 см.
ответ: Длина АВ = 5 см.
4,6(27 оценок)
Новые ответы от MOGZ: Математика
logo
Вход Регистрация
Что ты хочешь узнать?
Спроси Mozg
Открыть лучший ответ