М
Молодежь
К
Компьютеры-и-электроника
Д
Дом-и-сад
С
Стиль-и-уход-за-собой
П
Праздники-и-традиции
Т
Транспорт
П
Путешествия
С
Семейная-жизнь
Ф
Философия-и-религия
Б
Без категории
М
Мир-работы
Х
Хобби-и-рукоделие
И
Искусство-и-развлечения
В
Взаимоотношения
З
Здоровье
К
Кулинария-и-гостеприимство
Ф
Финансы-и-бизнес
П
Питомцы-и-животные
О
Образование
О
Образование-и-коммуникации
teoat
teoat
15.12.2022 07:43 •  Математика

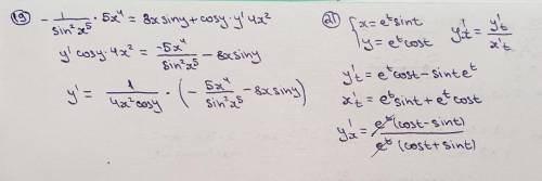
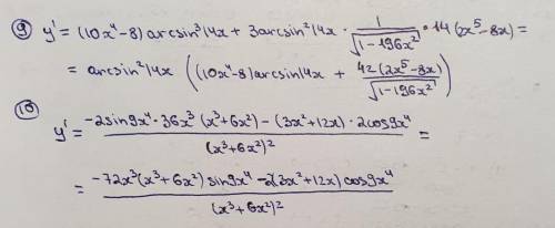
ответьте очень нужен ответ желательно до 17:00 Задания 9,10 нужно:Знайти похідні

Задание:9,10,15,19,21


ответьте очень нужен ответ желательно до 17:00 Задания 9,10 нужно:Знайти похідніЗадание:9,10,15,19,2

👇
Ответ:
Sasha808621
Sasha808621
15.12.2022

решение на фотографиях


ответьте очень нужен ответ желательно до 17:00 Задания 9,10 нужно:Знайти похідніЗадание:9,10,15,19,2
ответьте очень нужен ответ желательно до 17:00 Задания 9,10 нужно:Знайти похідніЗадание:9,10,15,19,2
ответьте очень нужен ответ желательно до 17:00 Задания 9,10 нужно:Знайти похідніЗадание:9,10,15,19,2
4,4(91 оценок)
Открыть все ответы
Ответ:
anzhelaromanova02
anzhelaromanova02
15.12.2022
Каждое уравнение первой степени



(в декартовых координатах) определяет плоскость. Если в этом уравнении отсутствует свободный член (D=0), то плоскость проходит через начало координат. Если отсутствует член с одной из текущих координат (то есть какой-либо из коэффициентов A, B, C равен нулю), то плоскость параллельна одной из координатных осей, именно той, которая одноименна с отсутствующей координатой; если, кроме того, отсутствует свобдный член, то плоскость проходит через эту ось. Если в уравнении отсутствуют два члена с текущими координатами (какие-либо два из коэффициентов A, B, C равны нулю), то плоскость параллельна одной из координатных плоскостей, именно той, которая проходит через оси, одноименные с отсутствующими координатами; если, кроме того, отсутствует свободный член, то плоскость совпадает с этой координатной плоскостью.

Если в уравнении плоскости



ни один из коэффициентов A, B, C не равен нулю, то это уравнение может быть преобразовано к виду

 (1)

где

, , 

суть величины отрезков, которые плоскость отсекает на координатных осях (считая каждый от начала координат). Уравнение (1) называется уравнением плоскости «в отрезках».
4,8(83 оценок)
Ответ:
FenrisYT
FenrisYT
15.12.2022
Первая голова: Больше ста.Вторая голова: Меньше ста.Третья голова: Хотя бы один. (один и более)
Подумаем логически. Пусть говорит правду первая голова. Вторая голова 100% лжёт. Третья голова говорит правду. 
Пусть говорит правду третья голова, тогда права ИЛИ первая, ИЛИ вторая. (Например, там может оказаться число 4 или число 9999). Пришли к противоречию.
Пусть правду говорит вторая голова. Тогда первая голова 100% говорит неправду, а третья по идее правду. НО! Есть такой число - НОЛЬ. и если рассматривать с точки зрения отсутствия отрядов: 0<100 и 0<1. т.е. первая и третья головы лгут.
ответ: У шамаханской царицы нет отрядов!
4,8(5 оценок)
Это интересно:
Новые ответы от MOGZ: Математика
logo
Вход Регистрация
Что ты хочешь узнать?
Спроси Mozg
Открыть лучший ответ