М
Молодежь
К
Компьютеры-и-электроника
Д
Дом-и-сад
С
Стиль-и-уход-за-собой
П
Праздники-и-традиции
Т
Транспорт
П
Путешествия
С
Семейная-жизнь
Ф
Философия-и-религия
Б
Без категории
М
Мир-работы
Х
Хобби-и-рукоделие
И
Искусство-и-развлечения
В
Взаимоотношения
З
Здоровье
К
Кулинария-и-гостеприимство
Ф
Финансы-и-бизнес
П
Питомцы-и-животные
О
Образование
О
Образование-и-коммуникации
Begli37283
Begli37283
27.05.2020 11:55 •  Математика

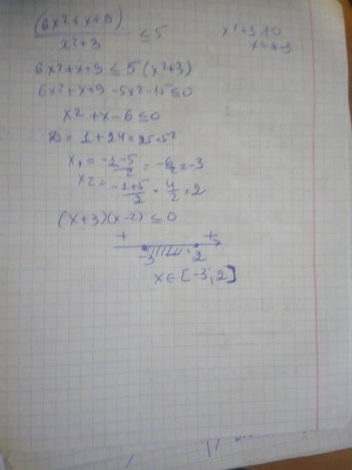
Здравствуйте, правильно будет, если так упростить неравенство: (6x^2 + x+9)/(x^2 +3) <=5 упрощение: 6x^2 + x+9<=5(x^2 +3) ?

👇
Ответ:
mstasya04
mstasya04
27.05.2020

ответ:да

Пошаговое объяснение:


Здравствуйте, правильно будет, если так упростить неравенство: (6x^2 + x+9)/(x^2 +3) <=5 упрощени
4,6(22 оценок)
Ответ:
Lerika51640
Lerika51640
27.05.2020

Это верно

4,8(14 оценок)
Открыть все ответы
Ответ:
PalkaDavalka
PalkaDavalka
27.05.2020
 было х тонн
в первый день отпустили 40%  или 0,4х тонн
осталось х-0,4х=0,6х тонн
во второй день 60% от оставшегося значит 0,6*0,6х=0,36х тонн
а в третий день 72т.
х=0,4х+0,36х+72
0,24х=72
х=300
всего на базе было 300 тонн картофеля.

2 задача
всего изготовили х деталей,первый рабочий изготовил 0,3х деталей, тогда второй рабочий изготовил 0,6(х-0,3х) или 0,42х, а третий рабочий - остальные 84 детали

0,3х+0,42х+84=х
0.72х+84=х
х-0.72х=84
0.28х=84
х=300
ответ: 300 деталей изготовили рабочие.

3 задача

1-3/8=5/8 осталось после 1 дня работы
5/8-(5/8 * 2/5)=3/8(части)- 216 га216 / 3/8 =576(га) - всё поле
ответ: 576 га.
4,6(66 оценок)
Ответ:
SMKate
SMKate
27.05.2020

5 см

Пошаговое объяснение:

IACI=IBCI по условию, как стороны равнобедренного треугольника.

Построим отрезок СN такой, что IANI=IBNI. Отрезок CN является одновременно медианой, высотой и биссектрисой, опущенной на основание равнобедренного треугольника. Следовательно ∠CNA = ∠CNB = 90° (по определению высоты, опущенной из вершины на основание), и IANI=IBNI (по определению медианы).

Плоскость ΔMNC перпендикулярна  отрезку AB, т.к. AB ⊥CN (определение: прямая перпендиклярна плоскости, если она перпендикулярна любой прямой, принадлежащей плоскости), следователно и  MN ⊥ AB.

Следовательно длина отрезка IMNI и есть расстояние от точки M до стороны (отрезка) AB (определение: расстояние от точки до плоскости есть длина перпендикуляра, опущенного из точки на плоскость).

Найдем длину отрезка MN:

1. Сначала найдем длину ICNI:

ICNI=√(IBCI² - INBI²);

ICNI=√(5²-4²)=√9=3;

2. А теперь найдем IMNI  из ΔMNC:

IMNI=√(ICNI²+ICMI²);

IMNI=√(3²+4²)=√25=5 (см)


ЭЛЕМЕНТАРНАЯ ГЕОМЕТРИЯ, ОЧЕНЬ ЛЕГКО! Задание на скриншоте. Можно без решения (только ответ), но есл
4,4(1 оценок)
Это интересно:
Новые ответы от MOGZ: Математика
logo
Вход Регистрация
Что ты хочешь узнать?
Спроси Mozg
Открыть лучший ответ