М
Молодежь
К
Компьютеры-и-электроника
Д
Дом-и-сад
С
Стиль-и-уход-за-собой
П
Праздники-и-традиции
Т
Транспорт
П
Путешествия
С
Семейная-жизнь
Ф
Философия-и-религия
Б
Без категории
М
Мир-работы
Х
Хобби-и-рукоделие
И
Искусство-и-развлечения
В
Взаимоотношения
З
Здоровье
К
Кулинария-и-гостеприимство
Ф
Финансы-и-бизнес
П
Питомцы-и-животные
О
Образование
О
Образование-и-коммуникации
FOXI66666
FOXI66666
04.08.2020 14:28 •  Математика

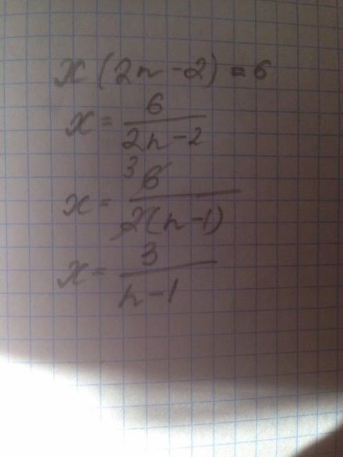
Решить уравнение x(2n-2)=6 . распишите ход решения,чтобы было понятно

👇
Ответ:
Анюта4111111
Анюта4111111
04.08.2020

Пошаговое объяснение:


Решить уравнение x(2n-2)=6 . распишите ход решения,чтобы было понятно
4,5(95 оценок)
Открыть все ответы
Ответ:
Egor24690
Egor24690
04.08.2020
Было лето.Мы с семьей решили отправиться в путешествие,а именно на материк-Северная Америка.Мы составили огромный список городов,которые нам нужно посетить.Например:Нью-Йорк,Лос-Анджелес, Мехико,Чикаго и другие.Вот настал день долгожданного путешествия,мы собрали вещи и отправились в аэропорт.Мы быстро сдали вещи и сели в самолет.Поездка обещала быть долгой.
Когда мы наконец-то прибыли,стояла ночь.Мы отправились в свой номер,чтобы переночевать,а на утро отправиться на экскурсии.Было безумно красиво.В этих городах были прекрасные достопримечательности,много красивых домов и красивейшая природа.
Вскоре,настало время уезжать.После поездки у нас осталось много сувениров и хороший воспоминания.
4,4(96 оценок)
Ответ:
romayakovlev
romayakovlev
04.08.2020

18; 222; 846

Пошаговое объяснение:

Признак делимости на 2: если число оканчивается на 2, 4, 6, 8 или 0, оно делится на 2.

Признак делимости на 3: если сумма цифр числа делится на 3, то и само число делится на 3.

18 - оканчивается на 8 (делится на 2), сумма цифр - 9 (делится на 3).

46 - оканчивается на 6 (делится на 2), сумма цифр - 10 (не делится на 3).

63 - оканчивается на 3 (не делится на 2).

222 - оканчивается на 2 (делится на 2), сумма цифр - 6 (делится на 3).

303 - оканчивается на 3 (не делится на 2).

846 - оканчивается на 6 (делится на 2), сумма цифр - 18 (делится на 3).

4,4(64 оценок)
Это интересно:
Новые ответы от MOGZ: Математика
logo
Вход Регистрация
Что ты хочешь узнать?
Спроси Mozg
Открыть лучший ответ