М
Молодежь
К
Компьютеры-и-электроника
Д
Дом-и-сад
С
Стиль-и-уход-за-собой
П
Праздники-и-традиции
Т
Транспорт
П
Путешествия
С
Семейная-жизнь
Ф
Философия-и-религия
Б
Без категории
М
Мир-работы
Х
Хобби-и-рукоделие
И
Искусство-и-развлечения
В
Взаимоотношения
З
Здоровье
К
Кулинария-и-гостеприимство
Ф
Финансы-и-бизнес
П
Питомцы-и-животные
О
Образование
О
Образование-и-коммуникации
abdulismailova2
abdulismailova2
29.07.2021 11:56 •  Математика

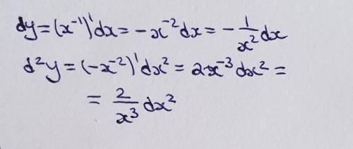
Найти dy, d²y для функции y=1/x

👇
Ответ:
olya12011
olya12011
29.07.2021

решение на фотографии


Найти dy, d²y для функции y=1/x
4,6(85 оценок)
Открыть все ответы
Ответ:
Егор02121
Егор02121
29.07.2021

Функция -8x/x^2+4. Вот план:
а) найти область определения функции. Точки разрыва функции и
ее односторонние пределы в этих точках;
б) выяснить, является ли функция четной (в этом случае график
функции симметричен относительно оси Оу), нечетной (график функции симметричен относительно начала координат), общего вида или периодический (через отрезок длинной, равной периоду, график функции повторяется)
в) найти (если это можно) точки пересечения графика с осями координат и интервалы знакопостоянства функции (промежутки, на которых f(x)> 0 или f (x)< 0);
д) найти асимптоты графика функции (вертикальные, горизонтальные или наклонные);
е,ж) найти интервалы монотонности (промежутки возрастания и
убывания функции, для этого решить неравенства y'> 0 и y'< 0) и экстремумы функции (найти точки max и min и соответствующие значения функции в этих точках).
з,и) найти интервалы выпуклости (интервалы, в которых y“< 0 ),
вогнутости (интервалы, в которых y“> 0 ), точки перегиба графика
функции.

4,6(26 оценок)
Ответ:
keniwo
keniwo
29.07.2021

Дано:

пусть t1=1,2ч-это автомобиль

t2=2,1ч-это автобус

пусть скорость автобуса меньше на 30км/ч; тогда:

Сначала нужно найти разницу во времени: t2-t1=2,1ч-1,2ч=0,9ч-автомобиль приезжает быстрее;

Теперь путь: S=0,9ч*30км/ч=27км-это путь тогда, когда автомобиль уже приехал, т.е. автобусу надо проехать такое расстояние! 

составим уравнение:

пусть скорость автомобиля: x, а автобуса х-30км/ч

я могу решить не правильно-решу как смогу:

S=27км+х

t1x+t2x-30=27+x

2S-30=27+x

2S=57+x

S=28,5=x

тогда: весь путь равен: 27+28,5=55,5км

V1=55,5км/1,2ч=посчитай

и V2=-30

 

 

4,4(38 оценок)
Это интересно:
Новые ответы от MOGZ: Математика
logo
Вход Регистрация
Что ты хочешь узнать?
Спроси Mozg
Открыть лучший ответ