М
Молодежь
К
Компьютеры-и-электроника
Д
Дом-и-сад
С
Стиль-и-уход-за-собой
П
Праздники-и-традиции
Т
Транспорт
П
Путешествия
С
Семейная-жизнь
Ф
Философия-и-религия
Б
Без категории
М
Мир-работы
Х
Хобби-и-рукоделие
И
Искусство-и-развлечения
В
Взаимоотношения
З
Здоровье
К
Кулинария-и-гостеприимство
Ф
Финансы-и-бизнес
П
Питомцы-и-животные
О
Образование
О
Образование-и-коммуникации
amozgaleva96
amozgaleva96
16.11.2020 23:03 •  Математика

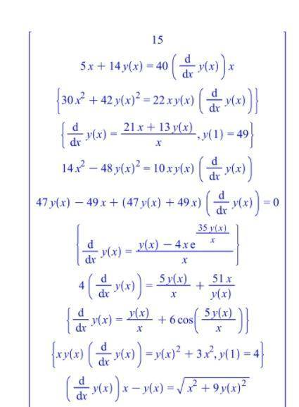
отдаю все, сколько можете, но если все, поклон. Дифференциальные уравнения, каждая строка уравнение


отдаю все, сколько можете, но если все, поклон. Дифференциальные уравнения, каждая строка уравнение

👇
Открыть все ответы
Ответ:
bigmama2
bigmama2
16.11.2020
Если я правильно понял условие задачи то:
При вращении данного прямоугольника вокруг большей стороны образуется цилиндр. Площадь цилиндра равна: S=2 π rh. 
Теперь найдем r и h. В данном случае r - меньшая сторона прямоугольника, а h - большая сторона.
Т.к. диагональ равна 10 см и образует с большей стороной угол в 30 градусов, то нужно рассмотреть прямоугольный треугольник, в котором стороны прилегающие к углу в 90 градусов равны r и h, а гипотенузой является диагональ прямоугольника. 
Тогда r=1/2*(гипотенузу)= 5см -  т.к. катит лежащий против угла в 30 градусов равен половине гипотенузы; h=10^2-5^2=5 корней из 3 - по теореме Пифагора. 
Остается только подставить значения в формулу для нахождения площади: 
S=2*3.14*5*5 корнейИз 3= 157 корнейИз 3
Диагональ прямоугольника равна 10 см и образует угол 30 с большей стороной. найти площадь поверхност
4,7(25 оценок)
Ответ:
Celestialess32
Celestialess32
16.11.2020
1) 5х+17 при х=0; 1; 2.
При x = 0:   5 х+17 = 5 * 0 + 17 = 17
При x = 1:   5 х+17 = 5 * 1 + 17 = 5 + 17 =22
При x = 2:   5 х+17 = 5 * 2 + 17 = 10 + 17 = 27

2)15а+10с при а=3 с=6. 
При a = 3, с =6:   15 а + 10 с = 15 * 3 + 10 * 6 = 45 + 60 = 105

3) 2у+7х-4а+9с при у=15, х=10, а=0, с=5
При у=15, х=10, а=0, с=5
2 у+7 х - 4 а + 9 с = 2 * 15 + 7 * 10 - 4 * 0 + 9 * 5 =
30 + 70 - 0 + 45 = 145

4)15а+10х-4у при а=1/2, х=1/4, у=1/10. 
при а=1/2, х=1/4, у=1/10
15 а + 10 х - 4 у = 15 * 1/2 + 10 * 1/4 - 4 * 1/10 =
15/2 + 10/4 - 4/10 = 150/20 + 50/20 -8/20 = (150 + 50 - 8)/20 =
= 192/20 = 96/10 = 9 6/10 = 9 3/5

5)(х+у-с):3 при с=1/2, х=1/4, у=1/10. 
при с=1/2, х=1/4, у=1/10
(х + у - с ) : 3 = (1/4 +1/10 - 1/2) : 3 =
= (5/20 +2/20 - 10/20) : 3 = - 3/10 : 3 = - 1/10

6)(2а+3к+4с):5 при а=1/3, к=2/5 , с=3/(4.) 
(2а+3к+4с):5 = (2 * 1/3 + 3 * 2/5 + 4 *3/4с) : 5 =
= (2/3 + 6/5 + 3) : 5 =  (10/15 + 18/15 + 3) : 5 =
= (28/15 + 45/15) : 5 = 73/15 : 5 = 73/75 

7)(5/7 к+ 3/4 у+х)*7 при к=5, у=6, х=8. 
(5/7 к+ 3/4 у+х)*7 = (5/7 *5 + 3/4 * 6 + 8) * 7 =
= (25/7 + 18/4 + 8) * 7 = (25/7 + 9/2 + 8) * 7 =
= (50/14 + 63/14 + 112/14) * 7 = 225/14 *7 = 225/2 = 112 1/2

8) (5-15а+10х-4у ):4 при а=1/2, х=1/4, у=1/10. 
(5-15а+10х-4у ):4 = (5-15 * 1/2 +10 * 1/4 - 4 * 1/10 ) : 4 =
= (5-15/2 +10/4 - 4/10 ) : 4 = (100/20 - 150/20 + 50/20 - 8/20 ) : 4 =
= ( - 8/20 ) : 4 = - 8 / 80 = - 1/10

9) (5х+17)*(3х-4у) при х=1/5, у=1/8. 
(5х+17)*(3х-4у)  = (5 * 1/5 +17) * (3* 1/5 - 4 * 1/8)  =
= (5/5 +17) * (3/5 - 4/8) = 18 * (3/5 - 1/2)  = 18 * (6/10 - 5/10)  =
= 18 * 1/10  =  18 /10  = 1 8/10

10)(4а-у): (а+у) при а=16/32, у=16/32.
(4а-у): (а+у) = (4 * 16/32 - 16/32) : (16/32 +16/32) =
= (64/32 - 16/32) : (32/32) = 48/32 : 1 = 48/32 = 3/2 = 1 1/2
4,5(23 оценок)
Новые ответы от MOGZ: Математика
logo
Вход Регистрация
Что ты хочешь узнать?
Спроси Mozg
Открыть лучший ответ