М
Молодежь
К
Компьютеры-и-электроника
Д
Дом-и-сад
С
Стиль-и-уход-за-собой
П
Праздники-и-традиции
Т
Транспорт
П
Путешествия
С
Семейная-жизнь
Ф
Философия-и-религия
Б
Без категории
М
Мир-работы
Х
Хобби-и-рукоделие
И
Искусство-и-развлечения
В
Взаимоотношения
З
Здоровье
К
Кулинария-и-гостеприимство
Ф
Финансы-и-бизнес
П
Питомцы-и-животные
О
Образование
О
Образование-и-коммуникации
zhanar7777
zhanar7777
31.05.2021 23:17 •  Математика

Вычислить самое главное прям с решением и удобным


Вычислить самое главное прям с решением и удобным

👇
Ответ:
али394
али394
31.05.2021

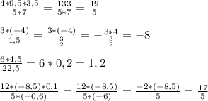
\frac{4*9,5*3,5}{5*7} =\frac{133}{5*7} =\frac{19}{5} \\\\\frac{3*(-4)}{1,5} =\frac{3*(-4)}{\frac{3}{2} } =-\frac{3*4}{\frac{3}{2} } =-8\\\\\frac{6*4,5}{22,5} =6*0,2=1,2\\\\\frac{12*(-8,5)*0,1}{5*(-0,6)} =\frac{12*(-8,5)}{5*(-6)} =\frac{-2*(-8,5)}{5} =\frac{17}{5}

Пошаговое объяснение:

все правильно эти звездочки это умножить

4,4(79 оценок)
Открыть все ответы
Ответ:
Вета2008
Вета2008
31.05.2021
2/3 > 8/21
Общий знаменатель 21. К первой дроби дополнительный множитель 7, ко второй 1.
14/21 > 8/21
4/15 < 2/5 
Общий знаменатель 15. К первой дроби дополнительный множитель 1, ко второй 3.
4/15 < 6/15
7/30 < 3/10 
Общий знаменатель 30. К первой дроби дополнительный множитель 1, ко второй 3.7/30 < 9/30
19/60 > 4/16
Общий знаменатель 240. К первой дроби дополнительный множитель 4, ко второй 15.
76/240 > 60/240
Если не 4/16, а 4/15
19/60 > 4/15
Общий знаменатель 60. К первой дроби дополнительный множитель 1, ко второй 4.
19/60 > 16/60
4,4(45 оценок)
Ответ:
Кэти305
Кэти305
31.05.2021
2/3 > 8/21
Общий знаменатель 21. К первой дроби дополнительный множитель 7, ко второй 1.
14/21 > 8/21
4/15 < 2/5 
Общий знаменатель 15. К первой дроби дополнительный множитель 1, ко второй 3.
4/15 < 6/15
7/30 < 3/10 
Общий знаменатель 30. К первой дроби дополнительный множитель 1, ко второй 3.7/30 < 9/30
19/60 > 4/16
Общий знаменатель 240. К первой дроби дополнительный множитель 4, ко второй 15.
76/240 > 60/240
Если не 4/16, а 4/15
19/60 > 4/15
Общий знаменатель 60. К первой дроби дополнительный множитель 1, ко второй 4.
19/60 > 16/60
4,7(68 оценок)
Это интересно:
Новые ответы от MOGZ: Математика
logo
Вход Регистрация
Что ты хочешь узнать?
Спроси Mozg
Открыть лучший ответ