М
Молодежь
К
Компьютеры-и-электроника
Д
Дом-и-сад
С
Стиль-и-уход-за-собой
П
Праздники-и-традиции
Т
Транспорт
П
Путешествия
С
Семейная-жизнь
Ф
Философия-и-религия
Б
Без категории
М
Мир-работы
Х
Хобби-и-рукоделие
И
Искусство-и-развлечения
В
Взаимоотношения
З
Здоровье
К
Кулинария-и-гостеприимство
Ф
Финансы-и-бизнес
П
Питомцы-и-животные
О
Образование
О
Образование-и-коммуникации

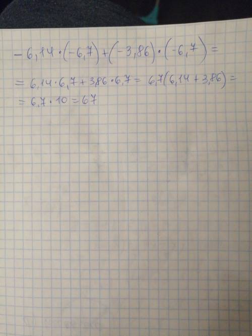
Вычислите используя свойства умножения ссор


Вычислите используя свойства умножения ссор

👇
Ответ:
ArT003
ArT003
25.01.2023

Пошаговое объяснение:


Вычислите используя свойства умножения ссор
4,6(92 оценок)
Открыть все ответы
Ответ:
круголс
круголс
25.01.2023
Пусть х+3-основание    х-боковая сторона                                                          решение:2х+(х+3)=27                                                                                                          2х+х+3=27                                                                                                            3х=27-3                                                                                                                  3х=24                                                                                                                    х=8см-боковая сторона  8*2=16см-основная сторона
4,6(79 оценок)
Ответ:
sashabayanov
sashabayanov
25.01.2023
1) 40832 + 400 = 41232 - ОТВЕТ А
2) 184+47=231 - ОТВЕТ В
3) 603-216=387 - ОТВЕТ Б
4) 207*43=8901 - ОТВЕТ Б
5) 20675:75=275 - ОТВЕТ В
6) нет знаков
7) нет знаков
8) 25*60=1500 - ОТВЕТ Г
9) 855:7=122 - ОТВЕТ В (125)
10) 36 : 1/4 = 144 - ОТВЕТ В
11) нет рисунка
12) 14670 - ОТВЕТ Б
13) 63х >601 - ОТВЕТ В
14) 6570 - ОТВЕТ А
15) 40:2 >30:3 - ОТВЕТ Г
16) треугольник - ОТВЕТ А
17) 100-95=5 - ОТВЕТ Б
18) нет
19) 24 км*2=48 км - ОТВЕТ В
20) 21:7=3 - ОТВЕТА
21)  5*9
22) 5, 15, 25 - ОТВЕТ Б
23) 1275:75=170(ост.7) - ОТВЕТ Г
24) 1000:100=10 - ОТВЕТ В
25) Х=114*52 - ОТВЕТ А
4,6(18 оценок)
Это интересно:
logo
Вход Регистрация
Что ты хочешь узнать?
Спроси Mozg
Открыть лучший ответ