М
Молодежь
К
Компьютеры-и-электроника
Д
Дом-и-сад
С
Стиль-и-уход-за-собой
П
Праздники-и-традиции
Т
Транспорт
П
Путешествия
С
Семейная-жизнь
Ф
Философия-и-религия
Б
Без категории
М
Мир-работы
Х
Хобби-и-рукоделие
И
Искусство-и-развлечения
В
Взаимоотношения
З
Здоровье
К
Кулинария-и-гостеприимство
Ф
Финансы-и-бизнес
П
Питомцы-и-животные
О
Образование
О
Образование-и-коммуникации
katyat1510
katyat1510
23.05.2021 13:48 •  Математика

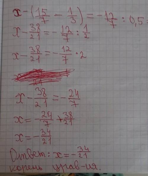
Найди корень уравнения
x-(1 5/7 - 1/3)=-1 2/7 : 0,5​

👇
Ответ:
maksukras
maksukras
23.05.2021

Мой ответ на фото!

Пошаговое объяснение:

_____________________


Найди корень уравненияx-(1 5/7 - 1/3)=-1 2/7 : 0,5​
4,4(88 оценок)
Открыть все ответы
Ответ:
1.
1) 10 + 7 = 17 (лет) - Даше лет.
ответ: Даше 17 лет.

2.
1) 20 - 6 + 4 = 18 (т.) - стало на сцене танцоров.
ответ: на сцене стало 18 танцоров.

3.
1) 10 + 10 + 8 = 28 (к.) - в трёх классах.
ответ: в трёх классах 28 компьютеров.

4.
1) 48 - 30 = 18 (л) - было в баке.
ответ: в баке было 18 л воды.

5.
1) 10 - 3 = 7 (м) - глубина второго колодца.
ответ: глубина второго колодца 7 м.

6.
1) 4 + 3 + 3 = 10 (дм) = 1 (м) - проползла гусеница.
ответ: гусеница проползла 10 дм или 1 м.

7.
1) 7 + 3 = 10 (лет) - будет через 3 года.
2) 7 - 3 = 4 (г.) - было 3 года назад.
ответ: через 3 года Павлу будет 10 лет, а три года назад ему было 4 года.

8.
1) 10 + 8 = 18 (дн.) - было солнечных дней.
2) 10 + 18 = 28 (дн.) - было всего дней.
ответ: всего в феврале было 28 дней.

9.
1) 16 - 6 = 10 (ф.) - фотографий медведей.
2) 16 + 10 = 26 (ф.) - всего фотографий.
ответ: всего Петя сделал 26 фотографий.

10.
1) 5 + 10 = 15 (п.) - песен за год.
ответ: за год композитор сочинил 15 песен.
4,8(48 оценок)
Ответ:
милaна1
милaна1
23.05.2021
Есептер шығару. Түсімділік. 1-сабақ
Диаграммаға қара. Есеп сұрағына жауап бер.
Екі алқап аудандарының қосындысы үшінші алқаптың ауданына тең. Бірінші және екінші алқаптың әрқайсысынан 5320 центнер бидай жиналды. Бірінші алқаптың түсімділігі – 14 ц/га. Осы үш алқаптан 20 540 центнер бидай жиналғаны белгілі болса, екінші және үшінші алқаптың түсімділігі қандай?

Жауабы:
Екінші алқаптың түсімділігі:
ц/га
Үшінші алқаптың түсімділігі:
ц/га
Есептер шығару. Түсімділік. 1-сабақДиаграммаға қара. Есеп сұрағына жауап бер.Екі алқап аудандарыны
4,4(60 оценок)
Это интересно:
Новые ответы от MOGZ: Математика
logo
Вход Регистрация
Что ты хочешь узнать?
Спроси Mozg
Открыть лучший ответ