М
Молодежь
К
Компьютеры-и-электроника
Д
Дом-и-сад
С
Стиль-и-уход-за-собой
П
Праздники-и-традиции
Т
Транспорт
П
Путешествия
С
Семейная-жизнь
Ф
Философия-и-религия
Б
Без категории
М
Мир-работы
Х
Хобби-и-рукоделие
И
Искусство-и-развлечения
В
Взаимоотношения
З
Здоровье
К
Кулинария-и-гостеприимство
Ф
Финансы-и-бизнес
П
Питомцы-и-животные
О
Образование
О
Образование-и-коммуникации
вау1905
вау1905
21.03.2021 02:09 •  Математика

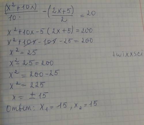
(х2 + 10х)/10 - (2х + 5)/2= 20
памагите. контра по матеше.

👇
Ответ:
Antonio11111111
Antonio11111111
21.03.2021

Можем домножить обе части уравнения на 10, тогда:

(2х + 10х) - 5(2х + 5) = 200

Раскроем скобки:

12х - 10х - 25 = 200

2х = 225

х = 112,5

ответ: {112,5}

4,6(68 оценок)
Ответ:
Dashylik228
Dashylik228
21.03.2021

решение на фото

.................


(х2 + 10х)/10 - (2х + 5)/2= 20 памагите. контра по матеше.
4,4(55 оценок)
Открыть все ответы
Ответ:
1) Частота дискретизации 44.1 кГц означает, что в секунду делается 44 100 отсчетов. Разрешение 16 бит (т.е. 16/8=2 байта) требует для хранения каждого отсчета 2 байта, а для хранения информации за 1 секунду - 2 х 44 100 = 88 200 байт. Две минуты - это 2 х 60 = 120 секунд и тогда общий объём составит
88 200 х 120 = 10 584 000 байт или 10 584 000 / 1024 = 10 335.94 Кбайт, или 10 335.94 / 1024 = 10.1 Мбайт
И все это - для одного канала записи (монофонической). Если запись стереофоническая - то каналов два и потребуется 2 х 10.1 = 20.2 Мбайта и т.д.
2) В этой задаче много неизвестных, а ход её решения обратный по отношению к предыдущей задаче. 2.6 Мбайта = 2.6 х 1024² = 2 726 297.6 байт. В одной минуте 60с, поэтому объем информации за одну секунду не может превышать 2 726 297.6 / 60 = 45 438.3 байт. А теперь это число нужно разделить на произведение трех значений: количества каналов записи, частоты дискретизации в герцах и разрешения (количества байт, отводимых для хранения одного отсчета). Все эти значения нам неизвестны, поэтому у задачи нет однозначного решения. Например, если канал один, а разрешение равно 1 байту, то частота дискретизации не может превышать 45 438 байт, что примерно соответствует общепринятой частоте 44 100 Гц (44.1 кГц).
4,6(78 оценок)
Ответ:
сауле49
сауле49
21.03.2021
1) Частота дискретизации 44.1 кГц означает, что в секунду делается 44 100 отсчетов. Разрешение 16 бит (т.е. 16/8=2 байта) требует для хранения каждого отсчета 2 байта, а для хранения информации за 1 секунду - 2 х 44 100 = 88 200 байт. Две минуты - это 2 х 60 = 120 секунд и тогда общий объём составит
88 200 х 120 = 10 584 000 байт или 10 584 000 / 1024 = 10 335.94 Кбайт, или 10 335.94 / 1024 = 10.1 Мбайт
И все это - для одного канала записи (монофонической). Если запись стереофоническая - то каналов два и потребуется 2 х 10.1 = 20.2 Мбайта и т.д.
2) В этой задаче много неизвестных, а ход её решения обратный по отношению к предыдущей задаче. 2.6 Мбайта = 2.6 х 1024² = 2 726 297.6 байт. В одной минуте 60с, поэтому объем информации за одну секунду не может превышать 2 726 297.6 / 60 = 45 438.3 байт. А теперь это число нужно разделить на произведение трех значений: количества каналов записи, частоты дискретизации в герцах и разрешения (количества байт, отводимых для хранения одного отсчета). Все эти значения нам неизвестны, поэтому у задачи нет однозначного решения. Например, если канал один, а разрешение равно 1 байту, то частота дискретизации не может превышать 45 438 байт, что примерно соответствует общепринятой частоте 44 100 Гц (44.1 кГц).
4,6(41 оценок)
Это интересно:
Новые ответы от MOGZ: Математика
logo
Вход Регистрация
Что ты хочешь узнать?
Спроси Mozg
Открыть лучший ответ