М
Молодежь
К
Компьютеры-и-электроника
Д
Дом-и-сад
С
Стиль-и-уход-за-собой
П
Праздники-и-традиции
Т
Транспорт
П
Путешествия
С
Семейная-жизнь
Ф
Философия-и-религия
Б
Без категории
М
Мир-работы
Х
Хобби-и-рукоделие
И
Искусство-и-развлечения
В
Взаимоотношения
З
Здоровье
К
Кулинария-и-гостеприимство
Ф
Финансы-и-бизнес
П
Питомцы-и-животные
О
Образование
О
Образование-и-коммуникации

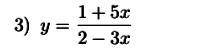
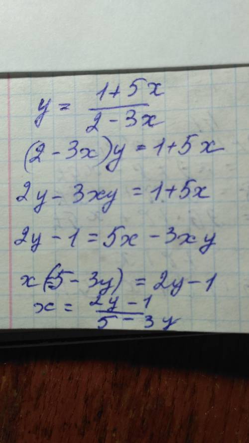
Найти обратную функцию данной функции мне очень нужна Заранее


Найти обратную функцию данной функции мне очень нужна Заранее

👇
Ответ:
nail18121
nail18121
27.03.2021

Пошаговое объяснение:


Найти обратную функцию данной функции мне очень нужна Заранее
4,4(87 оценок)
Открыть все ответы
Ответ:
az0967848
az0967848
27.03.2021
Сокращение дробей состоит в том, что числитель и знаменатель дроби делят на одно и то же число.
Если алгебраическая дробь одночленная, то числитель и знаменатель представляется в виде произведения нескольких множителей, и сразу видно, на какие одинаковые числа можно их разделить.
 \frac{3a}{5a}
числитель и знаменатель можно разделить на а, получим
\frac{3}{5}
\frac{2a}{4a}
можно разделить и на а и на 2, т.е. на 2а, получим
\frac{1}{2}
\frac{abc}{abd}
делим на ab, получаем
\frac{c}{d}

в твоих примерах в первом
можно сократить 24 и 18, 5 и 25 и конечно а.
получим \frac{24a*5b}{25c*18a}= \frac{4*b}{5c*3}= \frac{4b}{15c}
или перемножить цифровые множители, а потом сократить, если тебе так будет удобнее.
\frac{24a*5b}{25c*18a}= \frac{120ab}{450ca}= \frac{4b}{15c}

во втором примере сокращаем а, получаем
\frac{ab}{ac}= \frac{b}{c}

Надеюсь все понятно? Если нет пиши, что именно.
4,6(61 оценок)
Ответ:
misha12e
misha12e
27.03.2021
СанетSelect і і выдатнаСярэдняя: 4.3 (586 галасоў)(Ахвярую А. Пагодзіну)Un sonnet sans defaut
Vant seul un long poeme
Boileau*Паміж пяскоў Егіпецкай зямлі,
Над хвалямі сінеючага Ніла,
Ўжо колькі тысяч год стаіць магіла:
Ў гаршку насення жменю там знайшлі.Хоць зернейкі засохшымі былі,
Ўсё ж такі жыццёвая іх сіла
Збудзілася і буйна ўскаласіла
Парой вясновай збожжа на раллі.Вось сімвал твой, забыты краю родны!
Зварушаны нарэшце дух народны,
Я верую, бясплодна не засьне,
А ўперад рынецца, маўляў, крыніца,
Каторая магутна, гучна мкне,
Здалеўшы з глебы на прастор прабіцца.Пакінуць водгук
4,4(95 оценок)
Новые ответы от MOGZ: Математика
logo
Вход Регистрация
Что ты хочешь узнать?
Спроси Mozg
Открыть лучший ответ