
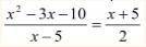
ОДЗ:
x-5=0
x≠5
x(x+2)-5(x+2)=0 x+5
=
x-3 2
(x+2)(x-5) x+5
=
x-5 2
x+5
x+2=
2
2x+4= x+5
2x-x= 5-4
x=1
Пошаговое объяснение:
Обозначим первую цифру четырехзначного числа - а, вторую - b, третью - c, четвертую - d.
Записываем наше число в десятичной системе счисления:
1000a+100b+10c+d.
А теперь отнимем из этого числа сумму его цифр:
1000a+100b+10c+d-a-b-c-d.
Упрощаем выражение и считаем;
1000a+100b+10c+d-a-b-c-d=1000a+100b+10c-a-b-c=999a+99b+9c=9(111a+11b+c)
Наше число после вычитания суммы цифр имеет множитель 9. Таким образом, число до вычеркивания цифры должно делиться на 9.
Учитывая, что число делится на 9, если сумма его цифр делится на 9.
Полученное число 446 на 9 не делится (4+4+6=14). А ближайшее число, кратное 9 - это 18 (следующее будет 27, но это две цифры будет и нам не подходит). Значит зачеркнутая цифра 18-14=4
Зачеркнутая цифра была 4
Пошаговое объяснение:
Обозначим первую цифру четырехзначного числа - а, вторую - b, третью - c, четвертую - d.
Записываем наше число в десятичной системе счисления:
1000a+100b+10c+d.
А теперь отнимем из этого числа сумму его цифр:
1000a+100b+10c+d-a-b-c-d.
Упрощаем выражение и считаем;
1000a+100b+10c+d-a-b-c-d=1000a+100b+10c-a-b-c=999a+99b+9c=9(111a+11b+c)
Наше число после вычитания суммы цифр имеет множитель 9. Таким образом, число до вычеркивания цифры должно делиться на 9.
Учитывая, что число делится на 9, если сумма его цифр делится на 9.
Полученное число 446 на 9 не делится (4+4+6=14). А ближайшее число, кратное 9 - это 18 (следующее будет 27, но это две цифры будет и нам не подходит). Значит зачеркнутая цифра 18-14=4
Зачеркнутая цифра была 4
удали
Пошаговое объяснение:
это