Вход
Регистрация
Спроси Mozg AI
М
Молодежь
К
Компьютеры-и-электроника
Д
Дом-и-сад
С
Стиль-и-уход-за-собой
П
Праздники-и-традиции
Т
Транспорт
П
Путешествия
С
Семейная-жизнь
Ф
Философия-и-религия
Б
Без категории
М
Мир-работы
Х
Хобби-и-рукоделие
И
Искусство-и-развлечения
В
Взаимоотношения
З
Здоровье
К
Кулинария-и-гостеприимство
Ф
Финансы-и-бизнес
П
Питомцы-и-животные
О
Образование
О
Образование-и-коммуникации
.....больше.....
..меньше..
VovasuslovAUE
19.08.2021 19:13 •
Математика
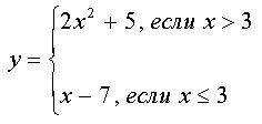
Задача 2. Решите систему уравнений
👇
Увидеть ответ
Открыть все ответы
Ответ:
мамкакактус
19.08.2021
Примем за х производительность первого рабочего, а за у -производительность второго рабочего.
Примем за 1 весь объем работ.
1) Получаем систему уравнение:
{ 7х + 4у = 5/9
{ 1 - ((7+4)х + (4+4)у) = 1/18
{ 63х + 36у = 5
{ 18 - (18•11х + 18•8у) = 1
{ 63х + 36у = 5
{ 198х + 144у = 17
{ 252х + 144у = 20
{ 198х + 144у = 17
252х + 144у - 198х - 144у = 20 - 17
54х = 3
х = 3 : 54
х = 1/18 - производительность первого рабочего.
2) 1 : 1/18 = 18 часов - время, за которое первый токарь, работая отдельно, мог бы выполнить всё задание.
ответ: 18 часов.
4,6
(10 оценок)
Ответ:
emin19
19.08.2021
Примем за х производительность первого рабочего, а за у -производительность второго рабочего.
Примем за 1 весь объем работ.
1) Получаем систему уравнение:
{ 7х + 4у = 5/9
{ 1 - ((7+4)х + (4+4)у) = 1/18
{ 63х + 36у = 5
{ 18 - (18•11х + 18•8у) = 1
{ 63х + 36у = 5
{ 198х + 144у = 17
{ 252х + 144у = 20
{ 198х + 144у = 17
252х + 144у - 198х - 144у = 20 - 17
54х = 3
х = 3 : 54
х = 1/18 - производительность первого рабочего.
2) 1 : 1/18 = 18 часов - время, за которое первый токарь, работая отдельно, мог бы выполнить всё задание.
ответ: 18 часов.
4,7
(56 оценок)
Это интересно:
П
Питомцы-и-животные
28.03.2022
Как вылечить слипшиеся глазки у хомяка...
К
Компьютеры-и-электроника
26.02.2021
Как наслаждаться игрой в Fruit Ninja в режиме Arcade Mode...
Д
Дом-и-сад
27.10.2021
Как выпрямить древесину: эффективные методы и советы...
К
Кулинария-и-гостеприимство
12.06.2021
Как приготовить чесночную пасту: простой и быстрый рецепт с пошаговыми инструкциями...
З
Здоровье
17.05.2023
Болезнь, которую нам нужно победить: Как справиться с защемлением нерва в бедре...
И
Искусство-и-развлечения
11.03.2023
Как стильно одеться в стиле Гарри Поттера...
И
Искусство-и-развлечения
21.05.2021
Как играть в бильярд как профи?...
Х
Хобби-и-рукоделие
06.03.2020
Как правильно драпировать платье: советы стилистов и примеры вариантов...
К
Компьютеры-и-электроника
30.11.2021
Apple Macintosh или другие ПК: как определиться с выбором...
Д
Дом-и-сад
04.01.2022
Солнечная энергия: идеальное решение для подогрева бассейна...
Новые ответы от MOGZ: Математика
hfhfhfhffhhfdkdd
18.01.2022
Как называются числа, которыми мы считаем?...
Мальчик123870
18.01.2022
Решить пример в дробях 2/3(3/2x-3)+(2/3x+1)*1/3 при x=5 зарание...
kirill23710
18.01.2022
Влияние атмосферного давления на окружающюю среду...
gizut
18.01.2022
9/2-5/2= 18\2: 36-3\2= 18\2: (36-32)= решите...
Blanco2017
18.01.2022
Современный московский кремль имеет стены общей длиной 2верста 100 аршин и 200 локтей вычислите в метрах длину стен современного кремля...
ieoeoeoeosikskd
18.01.2022
Нужно в каких то числах поменять местами цифры. 1903 – 1572=21 56381 – 42701=14783...
IamGroot1
18.01.2022
В19 одинаковых коробках поместилось 95 кг зефира. сколько коробок потребуется, чтобы разложить 90 кг пастилы, если в каждой коробке помещается пастилы на 4 кг больше, чем...
malaxov04
18.01.2022
Докажите, что при любом натуральном m значение выражения 11(2x - 3) + (2x - 3) делится на 12....
vitysablot
18.01.2022
Колхоз засеял пшеницей прямоугольный участок земли длина которого составляет 2 целых две пятых километров ширина а ширина 3 8 длины сколько пшеницы израсходовано для засева...
ttttt1509999
18.01.2022
Раскройте скобки и подобные слагаемые: -5(0,8 - 1.5х) + (6-2.5x)*2....
MOGZ ответил
(2-x)5 биномын жіктеуде x4 коэффициентін анықтаңыз....
Выпишете из текста предложения с причастным оборотом. Однажды очень богатый...
По уравнению x(t) составить выражение Vx(t) X= -1+5t+3t²...
Знатоки информатики нужно в каждом поставить верно или неверно...
В предложении расставьте знаки препинания, найдите деепричастие, обозначьте...
Расскажите об особенностях пещерной живописи ?...
ответьте на вопрос: Как безопасно контролировать массу тела? Почему не...
Найдите множество значений y=cosx+2,5...
1.Белок гемоглобин выполняет функцию... А)пигментную В)транспортную С)сократительную...
Writing Task 3. Write a school magazine article about a favourite sport...
Полный доступ к MOGZ
Живи умнее Безлимитный доступ к MOGZ
Оформи подписку
О НАС
О нас
Блог
Условия пользования
Авторское право
Политика конфиденциальности
Предпочтения cookie-файлов
ПОМОЩЬ
Зарегистрируйся
Центр помощи
Центр безопасности
App
Вход
Регистрация
Что ты хочешь узнать?
Спроси Mozg
Открыть лучший ответ
×
Примем за 1 весь объем работ.
1) Получаем систему уравнение:
{ 7х + 4у = 5/9
{ 1 - ((7+4)х + (4+4)у) = 1/18
{ 63х + 36у = 5
{ 18 - (18•11х + 18•8у) = 1
{ 63х + 36у = 5
{ 198х + 144у = 17
{ 252х + 144у = 20
{ 198х + 144у = 17
252х + 144у - 198х - 144у = 20 - 17
54х = 3
х = 3 : 54
х = 1/18 - производительность первого рабочего.
2) 1 : 1/18 = 18 часов - время, за которое первый токарь, работая отдельно, мог бы выполнить всё задание.
ответ: 18 часов.