М
Молодежь
К
Компьютеры-и-электроника
Д
Дом-и-сад
С
Стиль-и-уход-за-собой
П
Праздники-и-традиции
Т
Транспорт
П
Путешествия
С
Семейная-жизнь
Ф
Философия-и-религия
Б
Без категории
М
Мир-работы
Х
Хобби-и-рукоделие
И
Искусство-и-развлечения
В
Взаимоотношения
З
Здоровье
К
Кулинария-и-гостеприимство
Ф
Финансы-и-бизнес
П
Питомцы-и-животные
О
Образование
О
Образование-и-коммуникации

Решите уравнение: 45÷(x-2)=5​

👇
Ответ:
medinakill
medinakill
17.11.2022

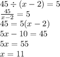
45 \div (x - 2) = 5 \\ \frac{45}{x - 2} = 5 \\ 45 = 5(x - 2) \\ 5x - 10 = 45 \\ 5x = 55 \\ x = 11

4,4(71 оценок)
Ответ:
Katysha1111111
Katysha1111111
17.11.2022

это правильный ответ поверь мне


Решите уравнение: 45÷(x-2)=5​
Решите уравнение: 45÷(x-2)=5​
4,6(64 оценок)
Открыть все ответы
Ответ:
Leg1oner
Leg1oner
17.11.2022
Нарисуй 2 прямые, там будет 4 угла - смежные и провотивоположные. 
смежные высчитываются 180 градусов минус (определенный близлежайший угол), тк сумма двух смежных углов в нашем случае всегда равна 180 
1) два провотивоположных друг другу угла будут по 37, остальные два, им смежные будут по 143 градуса
2) если одни углы по 138, то другие два 42 градуса
3) Пусть х один угол, тогда 8х другой угол
8х+х=180
9х=180
х=20
8х=160
то бишь один угол 20, другой 160 ( в сумме 180, не больше не меньше)
4) один угол 75, другой 105 ( я методом подбора)
меньший будет 75 градусов
5) тот же метод подбора 72 градуса и 108 
4,4(56 оценок)
Ответ:
linka737
linka737
17.11.2022
В случае длительного воздействия солнечного света на организм человека на коже образуются весьма болезненные солнечные ожоги. Но в большей степени могут пострадать глаза. «Всему виной ультрафиолетовое излучение» - скажете вы. Да это так. Ультрафиолет является одним из видов жесткого излучения солнца, которое называют еще солнечной радиацией. Расскажу подробнее..
Солнечная радиация — это поток лучей видимого и невидимого спектра, имеющих различную биологическую активность. При облучении солнцем имеет место одновременное воздействие:Прямой солнечной радиации;Рассеянной (поступившей за счет рассеяния части потока прямой солнечной радиации в атмосфере или отражения от облаков);Отраженной (в результате отражения лучей от окружающих предметов, воды, снега, льда).Величина потока солнечной энергии, приходящейся на тот или иной участок земной поверхности, зависит от высоты стояния солнца, которое, в свою очередь, определяется географической широтой данного участка, высотой над уровнем моря, временем года и суток.Если солнце находится в зените, то его лучи проходят самый короткий путь через атмосферу. При высоте стояния солнца 30° этот путь увеличивается вдвое, а при заходе солнца — в 35,4 раза больше, чем при отвесном падении лучей.Проходя через нижние слои атмосферы, содержащие во взвешенном состоянии частицы пыли, дыма и водяных паров, солнечные лучи частично поглощаются и рассеиваются.
Чем больше путь этих лучей и чем больше она загрязнена, тем меньшую интенсивность солнечной радиации они имеют по достижении поверхности Земли.Это значит, что интенсивность солнечного света в городах значительно ниже, чем на малозаселенных участках суши, в море. Но особенно интенсивное солнечное излучение наблюдается в горах, потому что с подъемом на высоту толщина атмосферы, через которую проходят солнечные лучи, уменьшается. На пути солнечного света становится меньше пыли и водяного пара. Остановимся на этом подробнее..В обычных условиях человек сталкивается не с одним из перечисленных видов радиации (прямой, рассеянной или отраженной), а с их суммарным воздействием.
4,5(45 оценок)
Это интересно:
Новые ответы от MOGZ: Математика
logo
Вход Регистрация
Что ты хочешь узнать?
Спроси Mozg
Открыть лучший ответ