М
Молодежь
К
Компьютеры-и-электроника
Д
Дом-и-сад
С
Стиль-и-уход-за-собой
П
Праздники-и-традиции
Т
Транспорт
П
Путешествия
С
Семейная-жизнь
Ф
Философия-и-религия
Б
Без категории
М
Мир-работы
Х
Хобби-и-рукоделие
И
Искусство-и-развлечения
В
Взаимоотношения
З
Здоровье
К
Кулинария-и-гостеприимство
Ф
Финансы-и-бизнес
П
Питомцы-и-животные
О
Образование
О
Образование-и-коммуникации
Aslanov1999
Aslanov1999
16.03.2022 06:57 •  Математика

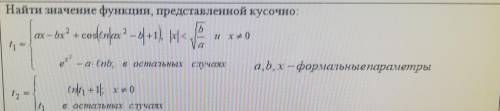
Напишите алгоритм решения. (Через формулы)


Напишите алгоритм решения. (Через формулы)

👇
Открыть все ответы
Ответ:
mzhenyak1999
mzhenyak1999
16.03.2022
Sпр=a*b   a=10 м   b=22 м                                                                                 Sпр=10*22=220 кв.м -  площадь участка                                                            Sкв=a*b    a=6м  b=6м                                                                                       Sкв=6*6=36 кв.м - площадь одной теплицы                                                        36*2=72 кв.м - площадь занимаемая двумя теплицами                                     220-72=148 кв.м - площадь участка не занятая теплицами                                            ответ: 148 кв.м.
4,4(82 оценок)
Ответ:
Dffc
Dffc
16.03.2022
Sпр=a*b   a=10 м   b=22 м                                                                                 Sпр=10*22=220 кв.м -  площадь участка                                                            Sкв=a*b    a=6м  b=6м                                                                                       Sкв=6*6=36 кв.м - площадь одной теплицы                                                        36*2=72 кв.м - площадь занимаемая двумя теплицами                                     220-72=148 кв.м - площадь участка не занятая теплицами                                            ответ: 148 кв.м.
4,8(42 оценок)
Это интересно:
Новые ответы от MOGZ: Математика
logo
Вход Регистрация
Что ты хочешь узнать?
Спроси Mozg
Открыть лучший ответ