


т.е.: 

каждое – будет, очевидно, больше чем
т.е. больше
а значит, при выборе минимальных чисел в виде
и
– подобрать остальные числа невозможно.
т.е.: 


и 
и 
и
Вася никаких чисел добавить не мог бы, поскольку тогда минимальные числа стали бы другими, и их произведение уже не было бы 
и
никаких натуральных чисел нет.
и
Вася тоже никаких чисел добавить не мог бы, поскольку тогда максимальные числа стали бы другими, и их произведение уже не было бы 

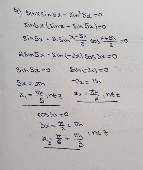
решение на фотографиях