М
Молодежь
К
Компьютеры-и-электроника
Д
Дом-и-сад
С
Стиль-и-уход-за-собой
П
Праздники-и-традиции
Т
Транспорт
П
Путешествия
С
Семейная-жизнь
Ф
Философия-и-религия
Б
Без категории
М
Мир-работы
Х
Хобби-и-рукоделие
И
Искусство-и-развлечения
В
Взаимоотношения
З
Здоровье
К
Кулинария-и-гостеприимство
Ф
Финансы-и-бизнес
П
Питомцы-и-животные
О
Образование
О
Образование-и-коммуникации
Djajdjo
Djajdjo
11.03.2020 20:04 •  Математика

Найти значение sin α, если известно, что cos α =- 0,6 и α
принадлежит II четверти.

👇
Ответ:
kanyuka
kanyuka
11.03.2020

Hi mister,

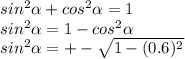
sin^{2} \alpha + cos^{2} \alpha = 1 \\sin^{2} \alpha = 1-cos^{2}\alpha \\sin^{2} \alpha = +-\sqrt{1-(0.6)^{2}\\

sin^{2} \alpha = +-\sqrt{1-0.36} \\sin^2\alpha =+-\sqrt{0.64} \\sin \alpha = +-0.8\\

Т.к α принадлежит ll четверти, это значит, что он положительный.

Отсюда делаем вывод что наш ответ: 0.8

(если был в отрицательных частях, был бы -0.8)

ответ: 0.8

Источник: Мозг


Найти значение sin α, если известно, что cos α =- 0,6 и α принадлежит II четверти.
4,7(10 оценок)
Открыть все ответы
Ответ:
SnikerS205
SnikerS205
11.03.2020

Производственная деятельность слесаря вследствие разнообразия условий и характера работ требует проявления особой внимательности в работе, всестороннего знакомства с оборудованием, которым приходится пользоваться.

Для выполнения производственных заданий слесарю необходимо применять различный инструмент (механизированный, электрифицированный, пневматический), а также использовать станочное оборудование для сверлильных, заточных и других работ, различные при механизмы и транспортно-подъемные средства.

Указанный характер работы требует от слесаря знаний правил техники безопасности и строгого их соблюдения.

Каждый слесарь обязан знать и строго выполнять все требования по технике безопасности, а администрация цеха, участка должна обеспечить рабочее место всем необходимым и создать нормальные условия труда для безопасности.

Общие требования техники безопасности
1. При получении новой (незнакомой) работы требовать от мастера дополнительного инструктажа по технике безопасности.
2. При выполнении работы нужно быть внимательным, не отвлекаться посторонними делами и разговорами и не отвлекать других.
3. На территории завода (во дворе, в здании, на подъездных путях) соблюдать следующие правила:
а) быть внимательным к сигналам, подаваемым крановщиками электрокранов и водителями движущегося транспорта, и выполнять их;
б) не находиться под поднятым грузом;
в) не проходить в местах, не предназначенных для проходов, и не перебегать пути перед движущимся транспортом;
г) не проходить в неустановленных местах через конвейер и рольганги и не подлезать под них, не заходить без разрешения за ограждения;
д) не прикасаться к электрооборудованию, клеммам и электропроводам, арматуре общего освещения и не открывать дверок электрошкафов;
е) не включать и не останавливать (кроме аварийных случаев) машин, станков и механизмов, работа на которых не поручена администрацией цеха.

4. В случае ранения прекратить работу, известить об этом мастера и обратиться в медпункт.

Мастер или лицо, его заменяющее, обязан немедленно сообщить об этом администрации цеха для своевременного составления акта о происшедшем несчастном случае и принятия мер, предупреждающих повторение подобных случаев.

Условия обеспечения безопасности перед началом работ

1. Привести в порядок рабочую одежду, застегнуть или обхватить широкой резинкой обшлага рукавов (или ; закатать рукава выше локтя); убрать концы галстука, i косынки или платка; заправить одежду так, чтобы не было развевающихся концов; убрать волосы под плотно ; облегающий головной убор.

Работать в легкой обуви (тапочках, сандалиях, босо- ; ножках) запрещается.

2. Внимательно осмотреть место работы, привести его в порядок, убрать все мешающие работе посторонние предметы.

Инструмент и детали располагать так, чтобы избегать лишних движений и обеспечить безопасность работы.

Содержать в чистоте и порядке свое рабочее место.

3. Проверить наличие и исправность инструмента,’ при и средств индивидуальной защиты (защитных очков, резиновых перчаток и т. п.).

При работе применять только исправные инструменты и при При работе ручным инструментом следить, чтобы инструмент удовлетворял следующим требованиям:

а) слесарные, молотки и кувалды должны иметь ровную, слегка выпуклую поверхность, быть надежно насажены на ручки и закреплены стальными заершенными клиньями;
б) все инструменты, имеющие заостренные концы для рукояток (напильники, ножовки, шаберы и др.), должны быть снабжены деревянными ручками, соответствующими размерам инструмента, с бандажными кольцами, предохраняющими их от раскалывания;
в) рубящие инструменты (зубила, крейцмейсели, просечки, бородки, обжимки и т. п.) не должны иметь косых и сбитых затылков, трещин и заусенцев; их боковые грани не должны иметь острых ребер;
г) гаечные ключи должны соответствовать размерам гаек и головок болтов и не имет^ь трещин и забоин; запрещается применять прокладки между зевом ключа и гранями гаек и наращивать их трубами или другими рычагами (если это не предусмотрено конструкцией ключа).

Раздвижные ключи не должны иметь слабины в подвижных частях.

5. Для переноски рабочего инструмента к рабочему месту подготовить специальную сумку или ящик; переносить инструмент в карманах запрещается.

6. Проверить, чтобы освещение рабочего места было достаточным и свет не слепил глаза.

Пользоваться на станках и верстаках местным освещением напряжением выше 36 В запрещается.

7. Если необходимо пользоваться переносной электролампой, проверить, есть ли нд лампе защитная сетка, исправны ли шнур и изоляционная резиновая трубка. Напряжение переносных ламп допускается не выше 12 В.

8. При работе талями проверить их исправность, приподнять груз на небольшую высоту и убедиться в надежности тормоза, стропа и цепи.

Место для подвешивания талей должен указать мастер или бригадир, укреплять тали можно только после разрешения мастера или бригадира. Особое внимание обратить на прочность крепления талей.


4,8(90 оценок)
Ответ:
Михалкова
Михалкова
11.03.2020
Простые переплеты Простой переплет может иметь следующую классификацию: полотняный; саржевый; атласный; сатиновый. Для простого переплета характерно следующее: основная пересекается с уточной всего лишь 1 раз. Для полотняного переплета характерно чередование основано и уточной нити через одну. А на внешней стороне материала выходит то основная, то уточная нить. Для материй полотняного переплета свойственна ровная, матовая поверхность, которая ничем не отличается от изнаночной или наружной стороны. Полотно имеет максимальную прочность и плотность.
В результате полотняного переплета удается получить следующие виды материалов: мадаполам, майя, батист, ситец. Материи саржевого переплетения характеризуются наличием рубчика на наружной стороне. Он рассоложен снизу вверх и справа налево. При последующей выкладке ткацкий станок смещается на одну нить. Саржевой переплет может быть основным и уточным. Для первого типа характерно, когда на наружной стороне материала больше основных нитей, а для уточного – больше уточных. Используя саржевое переплетение, получают такие виды материалов: полушелковые, полушерстяные ткани. Материал, полученный саржевого переплета, отличается от остальных эластичностью. Полотно имеет малые показатели плотности, а также повышенную растяжимость по диагонали. Полотна сатиновых и атласных переплетений можно отличить по блестящей и гладкой поверхности. На наружной стороне сатина имеются уточные нити, а на лицевой части атласа – основные. При сатинового и атласного переплета можно получить следующие варианты тканей: сатин (смотрите фото ткани сатин), ластик, шелк, корсетные, штапельные ткани для пижам (по ссылке описан состав штапеля). К минусам представленных тканей можно отнести сыпучесть и скольжение при настиле и пошиве.
Мелкоузорчатые - этот вариант переплета можно поделить на две подгруппы: производственные и комбинированные. Первый вариант получают методом изменения или усложнения простых переплетений. А вот комбинированные – это материи, полученные методом чередования и совмещения простых переплетений.
ся в результате удлинения основных и уточных переплетений. Поперечный репс – это когда, направление каждой основной наблюдается через 2-3 и более уточных нитей. Таким можно получить фланель и репс.
Рогожка представляет собой двойное или тройное переплетение. В нем симметричное увеличение в основе и утке основные и уточных нитей. Таким образом, можно получить хлопчатобумажную, шелковую и шерстяную материю. Здесь описание ткани саржа. Саржа может быть ломаной и обратной. Суть ее в том, что имеет елочное переплетение, а направление саржевой полосы меняется под наклоном 90 градусов. Отличие обратной саржи от ломанной состоит в том, что на участке излома наблюдается сдвиг саржевой полоски. Задействуют ее при получении тканей для платья и пальто. К производным сатинового переплетения стоит отнести усиленный сатин. Он включает в себя в каждом горизонтальном ряду два основных перекрытия, которые чередуются с шестью уточными. Таким можно получить следующие материи: молескин, хлопчатобумажное сукно, замш, вельветон. Сложные Процесс образования сложных переплетений осуществляется из 3 и более систем нитей. В эту категорию можно отнести: двухлицевые, двухслойные, пике, ворсовые, петельные, перевивочные. Двухлицевые – это результат образования 3 систем нитей, которые имеют плотное переплетение относительно друг друга. Таким образом, получают сатин, байку и сукно. Двухслойные – это результат соединения 4 или 5 систем, соединенных между собой одной из составляющих 4 системы или вс системой. В таких полотнах наружная и изнаночная части могут существенно различаться. При этом наружная будет гладкоокрашенная, а вот изнаночная – пестротканая.
4,5(22 оценок)
Это интересно:
logo
Вход Регистрация
Что ты хочешь узнать?
Спроси Mozg
Открыть лучший ответ