
Задание 6 - 4 банки
Задание 7 - 5,375
Пошаговое объяснение:
Задание 6
высокий забор=5 шт
низкий забор= 6 шт
1/2×2=1м² - площадь одного высокого забора
1м²×5=5м² - площадь всех высоких заборов
3/4×1=3/4м² - площадь одного низкого забора
3/4×6=4,5м² - площадь всех низких заборов
5+4,5=9,5 м² - площадь всех заборов
9,5:2 3/8= 4б - банок краски
Задание 7
(3 1/4 +2/3):2/3-(2 5/18-17/36)×18/65
1) 3 1/4+2/3=3 3/12+8/12=3 11/12
2) 2 5/18-17/36= 2 10/36-17/36=1 29/36
3) 3 11/12:2/3=47/12:2/3=47/12×3/2=47/8
4) 1 29/36×18/65=65/36×18/36=1/2
5) 47/8-1/2=47/8-4/8=43/8=5 3/8
Задание 6 - 4 банки
Задание 7 - 5,375
Пошаговое объяснение:
Задание 6
высокий забор=5 шт
низкий забор= 6 шт
1/2×2=1м² - площадь одного высокого забора
1м²×5=5м² - площадь всех высоких заборов
3/4×1=3/4м² - площадь одного низкого забора
3/4×6=4,5м² - площадь всех низких заборов
5+4,5=9,5 м² - площадь всех заборов
9,5:2 3/8= 4б - банок краски
Задание 7
(3 1/4 +2/3):2/3-(2 5/18-17/36)×18/65
1) 3 1/4+2/3=3 3/12+8/12=3 11/12
2) 2 5/18-17/36= 2 10/36-17/36=1 29/36
3) 3 11/12:2/3=47/12:2/3=47/12×3/2=47/8
4) 1 29/36×18/65=65/36×18/36=1/2
5) 47/8-1/2=47/8-4/8=43/8=5 3/8
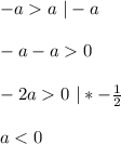
-а>a
Переносим -а вправую сторону
0>a+a
0>2a
a<0