М
Молодежь
К
Компьютеры-и-электроника
Д
Дом-и-сад
С
Стиль-и-уход-за-собой
П
Праздники-и-традиции
Т
Транспорт
П
Путешествия
С
Семейная-жизнь
Ф
Философия-и-религия
Б
Без категории
М
Мир-работы
Х
Хобби-и-рукоделие
И
Искусство-и-развлечения
В
Взаимоотношения
З
Здоровье
К
Кулинария-и-гостеприимство
Ф
Финансы-и-бизнес
П
Питомцы-и-животные
О
Образование
О
Образование-и-коммуникации
ivanalekseev20033
ivanalekseev20033
17.12.2022 16:11 •  Математика

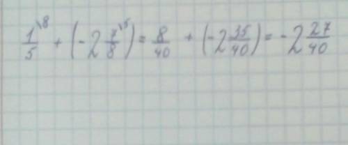
Чему равна сумма чисел?
1/5 и ( - 2 7/8)?

👇
Ответ:

ответ в приложенном фото


Чему равна сумма чисел? 1/5 и ( - 2 7/8)?
4,4(62 оценок)
Открыть все ответы
Ответ:
aasybas
aasybas
17.12.2022
Найдем делители 36 и 40, т. е. по сколько человек можно ставить в одном ряду, чтобы количество человек было одинаковое в каждом ряду. 
36: 2, 3, 4, 6, 9, 12, 18. 
40: 2, 4, 5, 8, 10, 20. 
Общие делители (одинаковые) 2 и 4 Т. е можно в каждой группе поставить всех по 2 человека или по 4. 
 Всего 2 возможности.У нас имееется 4 возможности для построения спортсменов. 

Для этого мы сложим количество спортсменов 

36+40= 76 спортсменов всего 

76/2 = 38(спорт) из этого получим два ряда по 38 человек или 38 рядов по 2 человека 

76/4 = 19 (спорт) из этого получим четыре ряда по 19 человек или 19 ряд. по 4 человека
4,7(23 оценок)
Ответ:
Якрутой111
Якрутой111
17.12.2022
1500+1000+ 900+1200 = 4600, потому дальше легко:
1600  .500.  .600.   1900
  1700  1800 ___     недостает в строке 1100
1400  1300 ___     не хватает в строке 1900

не хватает в столбцах
1500                       1500

вот решения:

1500  1000   900   1200
1600  .500.  .600.   1900
 600_ 1700   1800 _500
_900  1400  1300 _1000

или

1500  1000   900   1200
1600  .500.  .600.   1900
 500_ 1700   1800 _600_
1000  1400  1300 _900

или


1500  1000   900   1200
1600  .500.  .600.   1900
 1000 1700   1800 _100_
500    1400  1300 _ 1400

ну и так далее...

Ура!)
4,8(60 оценок)
Новые ответы от MOGZ: Математика
logo
Вход Регистрация
Что ты хочешь узнать?
Спроси Mozg
Открыть лучший ответ